2024年, 第60卷, 第16期 
刊出日期:2024-08-20
  

  • 全选
    |
    仪器科学与技术
  • 王耀南, 谢核, 邓晶丹, 毛建旭, 李文龙, 张辉
    机械工程学报. 2024, 60(16): 1-18. https://doi.org/10.3901/JME.2024.16.001
    摘要 ( ) PDF全文 ( )   可视化   收藏
    复杂曲面构件是航空航天、海洋舰船等领域高端装备的核心组成部分,其测量精度对保障高端装备制造品质具有不可替代的基础支撑作用。为克服传统手工、专机等制造方式的局限性,三维视觉引导的机器人系统为复杂曲面构件的高端化智能化加工提供新思路,并逐渐成为机器人化智能制造领域的研究热点。综述围绕机器人三维测量方法,首先根据传感器类型和应用场景,对不同制造场景的测量方案特点进行全面归纳,以帮助研究人员快速全面地认识和理解该领域。然后按照测量流程,将关键核心技术归纳为系统标定、测量规划、点云融合、特征识别等,综述各类别近十年的主要研究成果,分析现有研究存在的不足。最后总结机器人测量面临的技术挑战,并从应用场景、测量需求、测量手段等方面对未来的发展趋势进行了展望。
  • 赵峻林, 乔百杰, 罗现强, 符顺国, 程昊, 王亚南, 陈雪峰
    机械工程学报. 2024, 60(16): 19-33. https://doi.org/10.3901/JME.2024.16.019
    摘要 ( ) PDF全文 ( )   可视化   收藏
    针对叶片发生多模态共振时最大应力点在时域和空域分布不固定的问题,开展基于单传感器测量的多模态叶片动应力场预测方法研究。首先,推导叶片多模态耦合振动解析表达式,获得多模态振动特征;其次,通过有限元模态分析提取叶片模态频率、振型,确定各阶模态参与量;最后,开展振动台叶片多模态激励试验,采用激光位移传感器作为单传感器测点采集叶尖振动位移响应,从中解耦提取多模态振动参数,计算预测叶片全场动应力的时空变化规律,并采用四个应变片监测点作为参照,对比验证计算结果。结果表明:不同模态参与情况下,预测的叶根中点、边缘和叶身中心点动应变均与实测结果高度吻合,相对误差均小于9%,同时指出多模态叶片动应力场和最大应力点的变化规律,验证了方法的有效性。
  • 陈健, 孟义兴, 袁慎芳, 徐秋慧, 王卉
    机械工程学报. 2024, 60(16): 34-42. https://doi.org/10.3901/JME.2024.16.034
    摘要 ( ) PDF全文 ( )   可视化   收藏
    飞行器的高性能和长寿命需求对传统结构设计维护方法的变革提出了迫切要求。在数字孪生的理论思想下,提出一种飞行器搭接结构裂纹扩展寿命的在线预测方法,首先利用裂纹扩展准则和有限元模型建立搭接结构的数字孪生体及其代理模型,在结构服役过程中采用主动导波监测方法对物理实体搭接结构的裂纹长度进行监测,进一步通过贝叶斯滤波方法对搭接结构裂纹扩展准则参数进行修正,在此基础上结合数字孪生代理模型开展结构疲劳裂纹扩展寿命预测。通过蒙皮搭接结构的疲劳试验对方法进行验证,裂纹长度诊断结果的方均根误差为0.8 mm,在8万个载荷循环后裂纹扩展寿命预测结果的最大误差小于5%,表明了方法的有效性。
  • 刘建琴, 胡桂菘, 乔金丽, 郭晓
    机械工程学报. 2024, 60(16): 43-53. https://doi.org/10.3901/JME.2024.16.043
    摘要 ( ) PDF全文 ( )   可视化   收藏
    为了通过施工中易于获取的数据,实时预测岩石掘进机(Tunnel boring machine,TBM)性能从而为掘进参数的选择提供参考,依托广东某输水隧洞的地勘资料和掘进数据,分析主要掘进参数和场切深指数在不同类型围岩中的分布规律,在围岩类型由II类变为V类的过程中,刀盘扭矩、刀盘推力、贯入度等参数均存在着均值和标准差同时减小的趋势;除刀盘驱动系统外,支护系统和排渣系统中的参数的均值和标准差与场切深指数存在显著相关性。利用隐马尔可夫模型计算隧洞沿程各类围岩的概率分布,将其作为预测模型特征可提高预测精度但会增加过拟合风险。提出将掘进参数和围岩信息分别输入的双路神经网络模型,模型可对TBM施工前方一环的平均掘进性能进行预测,并将其与经典机器学习模型进行比较。结果表明,所提出的性能预测模型可以保证预测精度优于经典机器学习模型的同时拥有良好的泛化能力。
  • 任元强, 严嘉慧, 袁慎芳, 张巾巾
    机械工程学报. 2024, 60(16): 54-61. https://doi.org/10.3901/JME.2024.16.054
    摘要 ( ) PDF全文 ( )   可视化   收藏
    疲劳裂纹是导致航空飞行器结构失效最主要的损伤形式之一,及时、有效地对疲劳裂纹扩展进行在线监测和诊断对保障结构的完整性及安全性具有重要意义。由于实际服役的航空结构往往经历复杂的服役环境和操作条件,这些时变因素相互耦合,容易引起监测信号特征发生明显不确定性变化,严重影响结构损伤诊断的可靠性。针对时变服役条件影响下航空结构损伤的可靠评估,提出一种基于导波健康隐马尔科夫模型(Hidden Markov model,HMM)的结构损伤定量诊断方法。该方法通过HMM模型表征航空结构健康状态下的导波信号特征,采用实时监测导波信号特征与HMM模型的概率迁移关系表示结构损伤状态,实现结构损伤预警及定量诊断。在批量耳片的疲劳裂纹扩展试验中进行方法验证,结果显示损伤预警诊断误差平均值为0.4 mm,损伤定量诊断评估的最大绝对误差平均值为0.9 mm,表明该方法能够及时预警监测结构中疲劳裂纹的产生,同时对裂纹扩展进行可靠的连续定量诊断。
  • 石照耀, 俞志勇, 程慧明, 于渤, 左广祥
    机械工程学报. 2024, 60(16): 62-72. https://doi.org/10.3901/JME.2024.16.062
    摘要 ( ) PDF全文 ( )   可视化   收藏
    精密减速器是机器人的核心部件,其传动精度决定了机器人的运动精度。精密减速器试验台是测试精密减速器传动精度的基础装备。然而,迄今对精密减速器试验台的精度特性缺乏系统性研究,以至于还没有专门的检定规程去评定该类测试设备的精度性能,导致对精密减速器试验台的精度评定出现方法不统一、结果不准确等问题。为准确评价精密减速器试验台的精度性能,构建试验台全生命周期的精度评价体系。将试验台精度性能溯源为测试条件稳定性、测量链精度和频域状态三个方面,针对每一方面定义相应的特征量,提出面向生产现场的特征量快速提取方法,建立特征量与试验台精度之间的关系,确定试验台精度失效判定准则。基于课题组研制的精密减速器综合性能试验台,进行持续5年的测试实践。结果表明:特征量的数值与试验台的实际精度保持一致,验证了试验台全生命周期精度评价体系的有效性和可靠性。
  • 杨旭锋, 程鑫, 刘泽清
    机械工程学报. 2024, 60(16): 73-82. https://doi.org/10.3901/JME.2024.16.073
    摘要 ( ) PDF全文 ( )   可视化   收藏
    在估计小失效概率时,基于主动学习Kriging (Active learning Kriging,ALK)模型的可靠性方法常常面临候选样本过多,计算耗时的问题。针对这一问题,引入改进的交叉熵自适应重要抽样(Improved cross-entropy adaptive important sampling,iCE-AIS),提出一种融合ALK模型与iCE-AIS的高效可靠性方法。该方法记为ALK-iCE-AIS。在ALK-iCE-AIS中,iCE-AIS根据Kriging模型的预测抽取重要样本,Kriging模型在iCE-AIS的重要样本中选取最优训练点。如此迭代,Kriging模型将越来越精确地预测失效域,由iCE-AIS估计的失效概率也愈加精确。鉴于传统的收敛标准比较保守,特在iCE-AIS的框架下进一步提出一种基于失效概率误差的收敛标准,以保证Kriging模型在达到目标精度要求后及时终止学习。从算例测试来看,ALK-iCE-AIS能够以较少的训练样本获得准确的失效概率估计值。
  • 杨阳, 胡明辉, 江志农, 卢子元
    机械工程学报. 2024, 60(16): 83-97. https://doi.org/10.3901/JME.2024.16.083
    摘要 ( ) PDF全文 ( )   可视化   收藏
    中介轴承是航空发动机的易发故障部位,在弹性支承、薄壁机匣等复杂结构影响下,机匣测得振动信号中的中介轴承故障特征极其微弱,并且因设备长期处于频繁变工况状态,缺少与振动信号完全同步、精确的高低压转速信号作为参考,振动信号的非线性时变特征同样对中介轴承故障诊断干扰严重。针对上述问题,提出一种多分量同步提取变换驱动的无键相状态下中介轴承故障诊断方法,首先利用同步提取变换(Synchroextracting transform,SET)剔除时频图中的冗余时频能量,在同组低信噪比振动信号中提取出中介轴承的内外圈多分量转频成分;再对原始振动信号进行最小熵解卷积(Minimum entropy deconvolution,MED)和信息图来增强受传递路径和环境影响的微弱故障特征,MED在突出故障脉冲的同时优化了信息图中的谱负熵结果,最优共振解调频带选择也更为准确;最后以提取转频结果的差值作为故障增强后信号转差域的基准进行阶次跟踪并进行包络分析。仿真与试验分析结果表明,该方法可在无转速计测量下有效提取出中介轴承的故障特征阶次,实现对中介轴承的故障诊断,并且较典型信号处理方法具有明显优势。
  • 材料科学与工程
  • 李艳, 耿韶宁, 蒋平, 李元泰, 顾思远, 王建庄
    机械工程学报. 2024, 60(16): 98-107. https://doi.org/10.3901/JME.2024.16.098
    摘要 ( ) PDF全文 ( )   可视化   收藏
    超高功率激光-电弧复合焊接为实现厚壁构件的高效焊接提供有效手段,但面临焊接飞溅严重的问题。针对超高功率激光-电弧复合焊接飞溅问题,开展飞溅演化行为及抑制方法研究,阐明电弧热输入对飞溅的影响及抑制机制,并分析不同电弧热输入对焊缝宏观成形及组织性能的影响。结果表明,电弧热输入增加能显著增大匙孔开度,抑制飞溅形成。电弧热输入由139 J/mm提升至479 J/mm,匙孔开口尺寸由56.57 mm2增至243.29 mm2,匙孔周围熔融金属与金属蒸汽/等离子体间的摩擦剪切力减小,熔融金属柱高度由15.96 mm降至5.27 mm,且在匙孔前沿熔融金属表面张力及流体静压力作用下,熔融金属柱回落至熔池,焊缝表面飞溅数量减少87%,焊缝成形质量显著提高。并发现电弧热输入增加在提高焊缝熔宽熔深同时,虽会导致微观组织粗化、热影响区宽度增加,但所有试样焊缝均表现出良好拉伸性能。超高功率激光-电弧复合焊接过程中飞溅的有效抑制为该技术在厚板焊接领域的工艺参数调控提供数据及理论支撑。
  • 程吉, 曹宏东, 屈蜀光, 郑凯伦, 何祝斌
    机械工程学报. 2024, 60(16): 108-117. https://doi.org/10.3901/JME.2024.16.108
    摘要 ( ) PDF全文 ( )   可视化   收藏
    为准确表征管材热气胀变形行为与工艺参量的定量关系,提出基于6061高强铝合金黏塑性本构的热气胀工艺参量建模新方法,建立工艺参量与热气胀管材变形行为映射关系。开展6061铝合金复杂异形管件热气胀工艺试验,获得不同成形温度、加压速率与压强典型条件下缺陷形式与壁厚分布规律;基于试验结果,分别建立基于6061铝合金黏塑性变形本构、加压速率-应变速率模型与热气胀仿真模型。结果表明,管材变形性能随温度升高显著增加,变形过程的应变始终低于模型曲线的塑性极限值。加压速率越大,材料等效应变速率越大,应变速率强化提高零件的壁厚均匀性。所建立的热气胀工艺参量模型为复杂异形空心构件热气胀成形工艺选择提供有效的定量分析方法。
  • 赵雷, 张利宾, 宋恺, 徐连勇, 韩永典, 郝康达
    机械工程学报. 2024, 60(16): 118-129. https://doi.org/10.3901/JME.2024.16.118
    摘要 ( ) PDF全文 ( )   可视化   收藏
    蠕变疲劳相互作用(Creep fatigue interaction,CFI)是制约电力和航空等领域高温部件可靠运行的主要因素。采用应变控制(Conventional strain-controlled creep fatigue interaction,CCFI)和应力-应变混合控制(Hybrid stress-strain controlled creep fatigue interaction,HCFI)两种耦合控制模式研究新型马氏体耐热钢的蠕变-疲劳性能,对比两种模式下的蠕变损伤累积规律和微观损伤机制,分析总应变范围、保载时间和保载应力对新型马氏体耐热钢蠕变-疲劳性能的影响。结果表明,CCFI和HCFI的断裂寿命随总应变范围增大而降低。此外,增大保载应力以及保载时间会降低HCFI寿命。当HCFI中保载应力或保载时间增加时,单个循环所累计的蠕变损伤会显著增加,这说明HCFI试验更适合表征蠕变损伤主导的CFI。针对两种控制模式下的蠕变-疲劳寿命预测,讨论寿命分数法(Time fraction,TF)、延性耗散法(Ductility exhaustion,DE)以及修正的应变能密度耗散法(Modified strain energy density exhaustion,MSEDE)的预测精度。结果表明,修正的应变能密度耗散法由于考虑平均应力对蠕变-疲劳的影响,可以更好地表征蠕变疲劳中的蠕变损伤。对于HCFI采用了平均蠕变速率对DE和MSEDE模型进行修正,使得其预测的平均相对误差降低了一半。
  • 李帅, 楚志兵, 杨博文, 薛春, 拓雷锋
    机械工程学报. 2024, 60(16): 130-140. https://doi.org/10.3901/JME.2024.16.130
    摘要 ( ) PDF全文 ( )   可视化   收藏
    目前,冷轧管机市场主要由两辊锥形辊型和三辊周向同圆辊型的冷轧管机构成。两辊锥形辊型冷轧机具有道次变形量大,产量高的特点,但其产品精度低;三辊周向同圆的辊型冷轧机具有轧制精度高的特点,但道次变形量小。因此,以传统两辊锥形辊型设计方法为研究对象,结合三辊周向同圆的辊型断面设计方法,构建一种新型三辊皮尔格曲面构型设计方法,用于解决传统两辊锥形辊型冷轧机产品精度低的缺陷。借助有限元仿真软件,对两辊锥形辊型和新型三辊皮尔格曲面构型辊型轧制AZ31镁合金管材进行完整的仿真,通过对比圆整度、轧制力、三向应力、残余应力、回弹量等关键数据,得到新型三辊皮尔格曲面构型轧制出的管材全面优于两辊锥形辊型轧出的管材的结论。
  • 李春凯, 代悦, 王嘉昕, 顾玉芬, 石玗
    机械工程学报. 2024, 60(16): 141-150. https://doi.org/10.3901/JME.2024.16.141
    摘要 ( ) PDF全文 ( )   可视化   收藏
    熔池表面振荡行为与熔透之间存在明确的物理对应关系,然而在熔化极气体保护焊焊接过程中受熔滴传质过程的影响,想要从熔池表面的多维振荡行为中传感并明析反映熔透状态的振荡特征信息较为困难。基于此,提出采用激光视觉测量脉冲熔化极气体保护焊熔池振荡行为的方法,对未熔透、临界熔透和全熔透状态下的五/单线激光条纹进行采集,采用图像处理算法获取不同熔透状态下熔池的振荡频率、振荡幅度、曲率以及宽度振荡特征信息,并对上述振荡特征与熔池自由表面波动行为以及背面熔透状态之间的相关性进行分析。结果表明:三种熔透(未熔透、临界熔透、全熔透)状态下的熔池表面振荡模式均为行波模式;熔池振荡频率与振荡模式直接相关,不同熔透状态的振荡模式并未发生改变使频率特征也未出现突变;曲率、宽度与熔池上表面体积之间存在相关性,从未熔透到全熔透熔池上表面体积变化较小使曲率、宽度特征也未发生突变;而振荡幅度主要取决于熔池底部约束条件的变化,在全熔透状态下由于熔池底部第二自由表面的出现导致熔池整体振荡的自由度增加,使其出现特征突变。特征突变即该振荡特征在不同熔透状态下具有显著变化。
  • 刘伟, 胡利方, 郑植, 高伟, 丑昭, 成晓, 王勇
    机械工程学报. 2024, 60(16): 151-159. https://doi.org/10.3901/JME.2024.16.151
    摘要 ( ) PDF全文 ( )   可视化   收藏
    碳化硅作为第三代半导体材料,在微纳机械电子系统中有着广阔的应用前景。通过阳极键合技术实现玻璃与碳化硅的直接连接,SEM测试结果表明玻璃与碳化硅键合界面平整光滑无缺陷,通过TEM对键合界面进一步检测发现界面处碳化硅被氧化,玻璃与碳化硅实现化学键连接。通过SEM观察经氢氟酸腐蚀后界面的微观形貌发现键合界面处玻璃基体内形成Na+耗尽层,研究发现随着键合温度和电压的增大Na+耗尽层宽度在增大,最大达到了1.1 μm。在键合过程中,键合电流的变化分为急速上升、急速下降和相对稳定三个阶段。通过拉伸试验发现玻璃-碳化硅接头的断裂起源于键合界面处,进而延伸至玻璃基体内,拉伸强度随着键合温度和电压的增大而增大,在键合条件为500℃、1 000 V时抗拉强度达到18.2 MPa。
  • 李怡然, 尧军平, 梁超群, 肖鹏, 陈国鑫, 李步炜
    机械工程学报. 2024, 60(16): 160-170. https://doi.org/10.3901/JME.2024.16.160
    摘要 ( ) PDF全文 ( )   可视化   收藏
    为避免基于线弹性力学对裂纹问题模拟时,需要在试件中预制裂纹且在裂纹尖端存在奇异性的弊端,提出在颗粒界面引入内聚力单元来模拟研究SiC/AZ91D镁基复合材料在单轴拉伸情况下裂纹萌生扩展机制,提供一种解决裂纹扩展问题的新手段。结果表明:SiC颗粒的引入能够有效阻挡裂纹的萌生扩展,颗粒体积分数增加或者颗粒尺寸的增加均会加速复合材料的裂纹扩展过程,降低其伸长率,与试验情况吻合较好;SiC/AZ91D镁基复合材料拉伸过程中裂纹萌生扩展机制是颗粒与基体交界处萌生裂纹,微裂纹相互连接形成主裂纹,并绕开颗粒进行扩展致使材料断裂。
  • 杨东青, 谢高齐, 郭顺, 彭勇, 王克鸿, 黄俊
    机械工程学报. 2024, 60(16): 171-179. https://doi.org/10.3901/JME.2024.16.171
    摘要 ( ) PDF全文 ( )   可视化   收藏
    为了实现高效稳定的高氮钢熔化极气体保护焊接(Gas metal arc welding,GMAW),着重研究双丝排列角度对高氮钢熔滴过渡行为、电信号特征及焊缝成形特性的影响。结果表明:随着双丝排列角的减小,熔池的铺展性变差,熔池重叠部分的高度增加,熔滴过渡的不稳定性增加;当排列角度不小于45°,熔池铺展性好,双丝的熔滴过渡相互作用影响减小。双丝焊接电流和电弧电压的峰值随排列角度的增加由相互重叠变为错峰出现,双丝熔滴过渡平稳;单丝焊接相比,双丝焊接在送丝总量相同条件下双丝飞溅小、成形更好。在双丝共熔池条件下,随着排列角度的增大,焊缝成形变好。
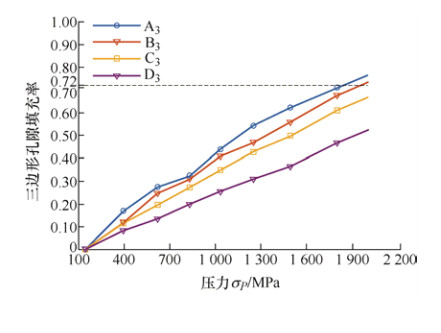
  • 周剑, 徐宏坤, 刘焜
    机械工程学报. 2024, 60(16): 180-189. https://doi.org/10.3901/JME.2024.16.180
    摘要 ( ) PDF全文 ( )   可视化   收藏
    采用二维多颗粒有限元法模拟Ti-6Al-4V粉末高速压制成形过程,定量表征颗粒间孔隙的形态特征,详细分析压制过程中多种典型孔隙的形态和面积填充变化规律,从微观孔隙演变的角度研究粉末致密化机理。模拟结果发现,当宏观压制压力低于临界压力(约为1 500 MPa),颗粒主要通过重排和塑性变形来填充孔隙,密度-压力曲线斜率较大,致密化较容易;超过临界压力后,曲线斜率逐渐减小,致密化越来越困难。微观上,在颗粒重排和塑性变形阶段,颗粒体系中存在大量面积比较大且压制角度较小的四边形孔隙,以及拱形结构容易被破坏的五边形孔隙。这些孔隙在压制过程中会转化为其他多边形孔隙,填充速率较快且具有较高的填充率,在粉末致密化的前中期起主要作用。高于临界压力值之后,大多数四边形和五边形孔隙均转化为三边形孔隙,此外还存在少量具有特殊堆积结构的多边形孔隙,这些难以填充的孔隙导致后期粉末致密化较为困难。研究结果建立不同类型孔隙的形态演变与粉末致密化难易程度之间的定性关联,为构建压制本构方程和优化成形质量提供理论指导。
  • 赵德望, 姜超, 赵延广, 杨文平, 樊俊铃
    机械工程学报. 2024, 60(16): 190-199. https://doi.org/10.3901/JME.2024.16.190
    摘要 ( ) PDF全文 ( )   可视化   收藏
    铝锂合金以其优异的力学性能在航空航天领域有着愈发重要的应用,是目前发展最为迅速的轻量化材料之一。疲劳与断裂是引起航空航天结构件失效的主要原因之一,且疲劳破坏具有很强的不确定性和突发性,因此针对铝锂合金疲劳性能评估及预测成为研究热点。开展考虑取样方向、缺口等因素的2A97铝锂合金疲劳试验,获得8组完整S-N曲线,分析相关因素对铝锂合金疲劳性能的影响;提出一种基于浅层网络+深度学习的混合神经网络模型,首先利用浅层算法对低周疲劳试验数据进行训练,实现了数据衍生,进而通过深度学习精准预测出不同工况下的铝锂合金疲劳极限。该方法为快速精确评估材料疲劳性能研究提供新的解决思路。
  • 运载工程
  • 徐远志, 焦宗夏, 冯昊, 谢彦, 杨重阳, 谢作建, 刘泽华, 金瑶兰, 孟少康
    机械工程学报. 2024, 60(16): 200-208. https://doi.org/10.3901/JME.2024.16.200
    摘要 ( ) PDF全文 ( )   可视化   收藏
    飞机液压刹车系统为压力控制系统,采用压力伺服阀将刹车指令转化为对应的输出压力,驱动刹车作动器进行刹车。某型飞机刹车系统遇到压力振荡问题,存在周期性的压力波动,严重影响刹车系统的控制性能。建立飞机液压刹车系统数学模型,开展振动原理分析,提出振动机理为一种含有正反馈的阀-管路系统非线性自激振动。采用龙格库塔法对建立的微分方程数学模型求解计算,得到相轨迹为稳定的极限环,即自激振动。提出增大回油容腔和取消回油反馈两种抑制方法,基于AMESim软件进行仿真分析,并开展了试验验证,证明自激振动理论的正确性和抑制方法的有效性。提出的理论方法,可分析和判别压力伺服阀的自激振动风险,对飞机液压刹车系统设计具有良好的指导意义。
  • 倪智宇, 李自森, 邬树楠, 吴晨晨
    机械工程学报. 2024, 60(16): 209-221. https://doi.org/10.3901/JME.2024.16.209
    摘要 ( ) PDF全文 ( )   可视化   收藏
    当空间结构的尺寸较大时,集中布置的姿态传感器测量得到的信号会受到柔性振动的明显影响。为了减小结构振动对于姿态信号测量的影响,研究空间太阳能电站的姿态传感器分布式布置问题,并提出一种变遗忘因子耦合最小二乘方法辨识该结构的惯性张量参数。该方法通过计算系统均方差来确定递推过程中的时变遗忘因子,之后基于姿态信号的分布式测量结果辨识得到系统的惯性张量参数。数值仿真结果表明对于这样一个大型柔性空间结构,姿态传感器的分布式布置能够在一定程度上降低振动对于姿态信号测量精度的影响,提高惯性张量参数的辨识精度。分析结果还证明了提出的算法能够有效地识别该大型柔性空间结构的惯性张量参数,具有抗噪声能力高和计算复杂度较低的特点。当量测信噪比为15 dB时,与传统的递推最小二乘方法相比,所提出的算法的平均相对误差的绝对值和相对值分别最大降低了25.4%和68.9%。
  • 刘帅, 王伟, 白杰, 戴士杰
    机械工程学报. 2024, 60(16): 222-230. https://doi.org/10.3901/JME.2024.16.222
    摘要 ( ) PDF全文 ( )   可视化   收藏
    通过部件法建立的民用航空发动机非线性气动热力模型具有结构复杂、参数强耦合的特点,难以直接用于控制规律设计。针对民用航空发动机控制规律设计难度大、工作量繁重且只能用于标称点线性化模型的问题,提出一种面向控制规律设计的民用航空发动机建模方法。根据航空发动机控制功能进行结构简化,利用转子动力学建模和燃烧反应动力学建模建立微分形式的航空发动机控制标准型模型。该模型建立了航空发动机全包线内控制所需参数的对应关系,非线性控制方法能够直接用于航空发动机控制规律设计,在一定程度上简化控制规律设计的工作量与难度。以DGEN380型航空发动机为例建立控制标准型模型,通过试验验证模型精度,且给出控制规律设计实例。面向控制规律设计的民用航空发动机建模方法达到了预期目标。
  • 钱敏, 耿可可, 殷国栋, 李尚杰, 王子威, 孙宇啸
    机械工程学报. 2024, 60(16): 231-240. https://doi.org/10.3901/JME.2024.16.231
    摘要 ( ) PDF全文 ( )   可视化   收藏
    针对车路协同系统的感知信息冗余问题,提出一种基于多元信息融合的重识别算法。算法输入为两个目标的图像与轨迹,通过计算图像相似度与轨迹相似度,并设计考虑多种权重的融合策略,最终得到两个目标的相似度,并做出对应的重识别处理。对于图像相似度,设计一种轻量化的图像相似度孪生网络;对于轨迹相似度,设计一种轨迹相似度算法;对于融合策略,通过计算图像质量权重、轨迹质量权重、图像相似度权重、轨迹相似度权重等四种权重,使用融合函数实现对图像与轨迹信息的融合。搭建真实交通场景下的车路协同系统,并基于该系统进行多种工况的试验来验证算法的有效性。结果表明,相较于SVDNet、Cam-GAN、MultiScale等基于单一信息元的重识别算法,基于多元信息融合的车路协同重识别算法提高了30%以上的重识别正确率和降低了20%以上的重识别漏检率。
  • 杨树军, 刘泓江, 陈俊杰, 王宏宇, 高向东, 刘敬豪
    机械工程学报. 2024, 60(16): 241-248. https://doi.org/10.3901/JME.2024.16.241
    摘要 ( ) PDF全文 ( )   可视化   收藏
    橡胶气囊是影响膜式空气弹簧力学特性的关键部件,导致膜式空气弹簧力学特性具有典型的迟滞非线性、压强参数时变等特性。围绕变压强工况下橡胶气囊迟滞力学特性建模难题,引入压强因子,建立Coulomb摩擦压强摄动模型、分数导数Kelvin-Voigt压强摄动模型描述橡胶气囊迟滞力学特性行为,构建压强统一方程表征变压强工况下模型参数的演变规律,建立变压强工况下橡胶气囊迟滞力学特性统一模型。以某膜式空气弹簧为试验样件A,基于MTS852.05测试台架开展变压强工况下膜式空气弹簧的静态、动态特性试验,计算与试验结果表明样件A静刚度迟滞回线相对误差小于1.1%,迟滞回线损耗能量相对误差小于1.3%,动刚度最大相对误差小于3.4%,验证变压强工况下橡胶气囊迟滞力学特性统一模型的准确性和普适性。最后,分析压强因子对橡胶气囊迟滞力学特性的影响规律,指出压强因子对模型参数Ffmax(pz)、Ke(pz)的正相关影响导致橡胶气囊的动态特性具有类似的压强相关性。研究结果为变压强工况下膜式空气弹簧刚度设计与匹配提供理论依据。
  • 魏恒, 卢剑伟, 石磊, 叶盛勇, 鲁航宇
    机械工程学报. 2024, 60(16): 249-258. https://doi.org/10.3901/JME.2024.16.249
    摘要 ( ) PDF全文 ( )   可视化   收藏
    为更加全面地分析汽车摆振系统动力学稳定性及行为特征,结合改进的拉格朗日方程建立整车12自由度摆振系统动力学模型,并在轮胎单点接触模型的基础上,推导得到轮胎线性及非线性两种约束方程。根据系统状态矩阵,分别考察两种轮胎约束下的系统平衡点及其稳定性随车速的变化情况,并通过系统特征向量研究汽车摆振系统模态特性,分析轮胎参数对系统失稳模态的影响规律。研究表明,轮胎拖距和主销后倾角的减小可以提升系统稳定性,从而抑制汽车摆振。此外,以高斯白噪声为输入建立B级随机路面激励时域模型,进而研究随机路面激励下的摆振系统行为特征,并着重探讨轮胎非线性约束及参数对汽车摆振动力学的影响。研究发现,轮胎非线性约束虽然对摆振系统的失稳参数域没有影响,但会使得摆振幅值有所减小,且轮胎垂向载荷变化越大,两种轮胎约束下的摆振幅值差异就越大。因此,当轮胎垂向载荷变化较大时,轮胎垂向载荷对松弛长度和接地印迹的影响应该给予重视。
  • 金贤建, 王佳栋, 徐利伟, 严择圆, 卢彦博, 殷国栋, 陈南
    机械工程学报. 2024, 60(16): 259-269. https://doi.org/10.3901/JME.2024.16.259
    摘要 ( ) PDF全文 ( )   可视化   收藏
    针对现有研究较少考虑轮毂悬架系统中非簧载质量增加及轮毂电机力矩在车轮处波动导致的车辆振动恶化问题,考虑轮毂主动悬架系统的簧上质量、悬架刚性和阻尼等参数不确定性及高阶非线性未建模动态等影响,采用线性分式变换(Linear fractional translation,LFT)方法建立面向μ综合鲁棒控制的定向轮毂悬置吸振式(Dynamic vibration absorber,DVA)主动悬架混合不确定系统动力学模型。在广义μ综合鲁棒控制系统的统一框架下,根据鲁棒μ综合奇异值理论设计轮毂主动悬架增广系统下的μ综合鲁棒控制器,并通过D-G-K迭代方法进行求解,μ综合分析显示,设计的μ综合控制器能在拥有良好稳定裕度的条件下保证主动悬架闭环系统的鲁棒稳定性和鲁棒性能,并降低传统H控制器的保守性。在Matlab/Simulink环境中通过频域和时域响应对控制器的可行性和有效性进行验证,仿真结果表明,设计的DVA-μ控制系统的综合性能优于DVA-H,DVA-μ控制器能有效抑制轮毂主动悬架系统的垂向振动,即使在外界干扰和多参数摄动下仍能较好地提高车辆行驶的平顺性及乘坐舒适性,有助于后续电动汽车主动悬架系统减振设计的理论借鉴。
  • 王洪亮, 雍健羽, 皮大伟, 谢伯元, 王尔烈, 王显会
    机械工程学报. 2024, 60(16): 270-279. https://doi.org/10.3901/JME.2024.16.270
    摘要 ( ) PDF全文 ( )   可视化   收藏
    提出一种基于贝塞尔曲线和多目标优化方法的多车队形切换轨迹规划方法。将轨迹规划问题分解为轨迹形状规划及速度规划两个部分。为进一步得筛选出最优的切换轨迹,使用多目标优化方法,基于避碰安全性、轨迹平顺性和路径长度最短规则,对轨迹组进行评分从而选出满足队形切换过程的最优切换轨迹。结果表明,所筛选的队形切换轨迹组能够满足状态约束、曲率连续有界约束、速度连续约束、无碰撞风险约束、平顺性约束和路径最短约束,并适用于实际车辆行驶,不会出现较大的轨迹偏差或过大的加减速情况。
  • 隗寒冰, 吴化腾, 徐进
    机械工程学报. 2024, 60(16): 280-290. https://doi.org/10.3901/JME.2024.16.280
    摘要 ( ) PDF全文 ( )   可视化   收藏
    针对自动驾驶汽车人机共驾横向控制策略未能考虑驾驶员神经肌肉特征,驾驶员接管后自动控制系统无法根据其状态对驾驶员操作进行自适应调节的问题,分别建立车辆转向系统和二自由度模型,在此基础上以驾驶员误操作作为干扰输入,将车辆方向盘转角和横摆角速度作为状态变量设计H控制器,使车辆能够跟踪期望的方向盘转角;针对在复杂交通情况下自动控制系统失效需要驾驶员立刻接管问题,建立基于神经肌肉特征的驾驶员手臂模型,考虑驾驶员神经肌肉参数摄动的影响,以期望的方向盘转角作为输入,设计保性能鲁棒控制器,使驾驶员能输出理想方向盘转角,从而实现稳定的跟踪目标轨迹。仿真和实车试验结果表明,提出的人机共驾横向控制策略能够稳定跟踪目标轨迹,且算法具有良好的鲁棒性。
  • 戴志远, 李田, 张卫华, 张继业
    机械工程学报. 2024, 60(16): 291-305. https://doi.org/10.3901/JME.2024.16.291
    摘要 ( ) PDF全文 ( )   可视化   收藏
    高海拔地区气候环境相对恶劣,海拔越高,空气压力、温度及密度越低。因此,研究高速列车在高海拔运行环境下的气动特性对列车运行安全性及高海拔地区铁路建设具有重要意义。以某型号高速列车为研究对象,对明线单车、明线会车及隧道通过运行工况进行气动数值模拟计算,研究不同海拔高度下列车的气动载荷及交变压力特性。研究结果表明,明线单车运行高速列车的气动阻力及气动升力都随海拔的增加而降低,但气动阻力系数及气动升力系数基本不随海拔的增加而改变,气动阻力系数中的压差阻力系数随海拔的增加而减小,黏性阻力系数随海拔的增加而增大。不同海拔高度下列车交会压力波及隧道压力波变化规律一致,但压力波幅值随海拔高度的增加而减小;列车交会压力波峰值和隧道通过的列车压力波、出口微气压波都与海拔高度呈现较强的相关性。此外,海拔高度增加带来的温度变化使压力波的传播速度降低,导致不同海拔高度下隧道压力波及出口微气压波出现滞后现象。
  • 刘宏哲, 陶相如, 徐成, 曹东璞
    机械工程学报. 2024, 60(16): 306-313. https://doi.org/10.3901/JME.2024.16.306
    摘要 ( ) PDF全文 ( )   可视化   收藏
    人体姿态估计是诸多计算机视觉领域任务的基础,以往的人体姿态估计网络由于尺度变化的挑战会在特征提取的过程中丢失姿态信息,导致人体姿态估计的准确度难以提升。针对该问题考虑以并行网络的方式结合多尺度特征融合方法提取特征。优化特征提取的人体姿态估计方法分为两步:首先在多尺度特征融合阶段利用转置卷积和混合空洞卷积的操作以减少特征信息的丢失,其次在特征图输出阶段有权重的结合不同尺度的特征图来剔除冗余信息、保留姿态信息同时生成更高质量的高分辨率热图。试验表明,此种方法在COCO数据集上的试验结果相比先进方法HRNet(High resolution net)准确率提高了2.1%。通过试验验证本方法在精度方面能够超过现有的主流人体姿态估计方法。该方法能更好地应对行人姿态估计中尺度变化的挑战,更加精确地定位复杂场景中小尺度人体的关键点位置。
  • 张艳斌, 张世雄, 孙维光, 张继旺, 张立民
    机械工程学报. 2024, 60(16): 314-323. https://doi.org/10.3901/JME.2024.16.314
    摘要 ( ) PDF全文 ( )   可视化   收藏
    动力包悬挂于动车组车体下方,在工作时产生幅值大且频率复杂的激扰力,这不仅影响其自身的运行,还会引起车体的运行舒适性和安全性问题,因此需要对其进行振动隔离。建立具有多子结构动力包双层隔振系统的刚体动力学模型,根据蒙特卡洛灵敏度方法筛选出设计变量,以系统隔振效率作为约束条件,柴油发电机组振动烈度和传递到车体的动反力作为优化目标,采用枚举法编程对隔振系统的动刚度进行优化设计。建立动力包ADAMS刚柔耦合模型验证设计动刚度的合理性。最后,将动力包悬挂于台架下进行机组振动烈度和系统振动传递率试验。试验结果表明:在各转速工况下,机组的振动烈度均小于18 mm/s,隔振系统的隔振效率均大于85%。这说明该隔振设计方法能够有效地应用于具有多子结构双层隔振系统的隔振设计中。
  • 李凡松, 宋烨, 戴焕云, 曾京
    机械工程学报. 2024, 60(16): 324-337. https://doi.org/10.3901/JME.2024.16.324
    摘要 ( ) PDF全文 ( )   可视化   收藏
    提出适用于铁道车辆结构模态匹配设计的具体准则,指导车辆设计过程中各组件间或结构自身动力学特征参数设计,以减少车辆异常振动问题的发生。随着对铁道车辆的运营速度、运行品质、轻量化等要求越来越高,基于传统行业标准的静态设计方法已无法满足设计需求,大量的车辆服役数据表明即使在满足现有标准的前提下,车辆部分结构仍存在异常振动或失效问题,且振动信号多表现为谐波振动,属于模态匹配设计异常范畴。因此基于动力学理论和不同领域模态匹配设计方法,研究并给出铁道车辆结构模态匹配设计准则,并利用两个典型实例进行验证。最终建议在进行结构模态匹配设计时,需要重点关注模态有效质量(Modal effective mass,MEM)占结构弹性模态MEM总和5%以上的模态;对于考虑动力学性能的模态匹配设计,激励主频与关注模态频率差值至少为模态频率的15%,建议在20%以上;对于仅考虑结构振动疲劳的模态匹配设计,建议此数值至少为10%。
  • 交叉与前沿
  • 姜琳琳, 于天, 李瑶, 焦宗夏, 尚耀星
    机械工程学报. 2024, 60(16): 338-347. https://doi.org/10.3901/JME.2024.16.338
    摘要 ( ) PDF全文 ( )   可视化   收藏
    复合材料伺服液压缸是液压缸轻量化的创新解决方案,能否利用其替代传统液压缸,摩擦特性是核心因素之一,它对电液伺服系统的控制精度和动态性能产生影响。传统液压缸摩擦测试一般采用粗放的启动压力测量法,针对新研制的复合材料液压缸,提出一种宽速高效的精准摩擦测试方法。该方法采用对顶拖动原理,向位置拖动缸施加控制指令,使位置拖动缸拖动被测缸进行变速运动,获得被测缸在宽速范围内的摩擦力、速度实测值,然后拟合摩擦力-速度曲线,辨识获得被测液压缸的摩擦特征参数。提出高频段摩擦力-速度特征点标记方法与变步长宽速拖动方法,提升摩擦特性测试精度。搭建碳纤维液压缸摩擦试验台,验证该测试方法的有效性,测试结果指导碳纤维液压缸筒的刚度匹配设计。
  • 刘银水, 丁爽爽, 马玉山, 吴新宇, 韩明兴, 崔岩
    机械工程学报. 2024, 60(16): 348-356. https://doi.org/10.3901/JME.2024.16.348
    摘要 ( ) PDF全文 ( )   可视化   收藏
    针对高压大流量条件下控制阀节流元件减压控速不平稳、空化气蚀严重等问题,提出一种新型空间蚁穴式节流元件。基于计算流体动力学(Computational fluid dynamics,CFD)仿真分析,详细对比研究节流元件级间压力、速度及气体体积分数在不同降压级数、不同压力等级下的变化规律,获得不同降压级数的临界空化压力值,与常规迷宫式节流元件的流场特征进行对比。搭建试验系统测得不同降压级数节流元件在不同阀口压降条件下的级间压力和流量并与仿真结果对比。结果表明,相比迷宫式节流结构,蚁穴式节流元件减压控速更平稳,具有更好的线性度。蚁穴式节流元件空化主要发生在最后一级,阀口压降与降压级数之间呈线性关系。基于所获得的阀口压降与降压级数之间的线性关系表达式,可为设计最佳的降压等级与降压级数组合提供理论指导,避免空化气蚀的发生,提高控制阀的使用寿命。试验测得数据与仿真数据一致性较好,验证了仿真模型的准确性。
  • 付涛, 张天赐, 崔允浩, 宋学官
    机械工程学报. 2024, 60(16): 357-366. https://doi.org/10.3901/JME.2024.16.357
    摘要 ( ) PDF全文 ( )   可视化   收藏
    矿用电铲是露天开采中重要的采装设备之一,用于地表覆盖物的剥离、矿石物料的装载。随着智慧矿山建设的不断推进,矿用电铲无人化、智能化成为发展趋势。不同于传统的人工操作,智能电铲采用自主作业方式,工作流程主要包括环境感知、挖掘轨迹规划与轨迹跟踪。挖掘轨迹跟踪控制的精度直接决定了作业效率和质量,对于智能化矿用电铲的开发具有重要意义。矿用电铲具有机身结构庞大、运行惯量大、作业环境复杂,挖掘过程中外部载荷剧烈变化等特点,使得模型存在较强的非线性和不确定性,基于传统线性反馈控制器开展智能矿用电铲挖掘轨迹跟踪存在控制滞后、精度低等问题。因此,提出一种深度学习增强的跟踪控制策略,利用深度长短时记忆神经网络建模电铲系统固有的逆动态响应特性,将规划的最优挖掘轨迹变换为可以减少跟踪误差的参考轨迹作为控制系统的输入。深度学习增强的智能矿用电铲轨迹跟踪算法不需要访问电铲内部控制回路,也不需要显式建模电铲动力学,在实践中具有可行性。为了验证控制策略的有效性,在由真实矿场物料搭建的试验场地下,利用1∶7智能电铲缩比样机开展对比试验研究。结果表明深度学习增强的挖掘轨迹跟踪精度更优,其中MAE降低了28.67%,RMSE降低了12.9%,MAPE降低了7.83%。
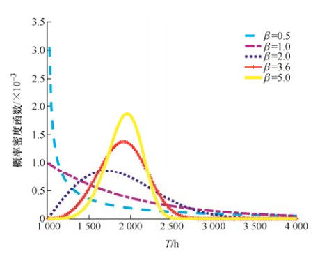
  • 杨小玉, 谢里阳, 杨奕凤, 赵丙峰
    机械工程学报. 2024, 60(16): 367-376. https://doi.org/10.3901/JME.2024.16.367
    摘要 ( ) PDF全文 ( )   可视化   收藏
    机电产品寿命大多数服从威布尔分布,其形状参数与潜在的失效机制有关,在相似环境下运行的产品的寿命概率分布通常有大致相同的形状参数。然而,目前在许多实际应用中威布尔形状参数值的范围和取值是基于两参数威布尔分布估计得到,这使得威布尔形状参数范围出现了较为分散的现象。首先使用偏差和方均根误差两个统计特征比较三参数威布尔形状参数估计的相关系数法、最小二乘法和最小偏差法。通过蒙特卡洛仿真验证,表明了相关系数法估计的形状参数更加准确。收集文献中的疲劳试验数据和其他机电产品寿命数据均使用两参数威布尔分布、三参数威布尔分布和对数正态分布进行拟合并通过K-S检验,通过比较三种分布的D值,说明三参数威布尔分布拟合效果最好。使用相关系数法得到三参数威布尔分布形状参数的取值和范围,计算结果表明机电产品的形状参数范围为1.0~3.0,均值为1.774。
  • 袁晓明, 王宁, 王卫东, 张立杰, 朱勇
    机械工程学报. 2024, 60(16): 377-389. https://doi.org/10.3901/JME.2024.16.377
    摘要 ( ) PDF全文 ( )   可视化   收藏
    自激振荡脉冲空化射流喷嘴的打击力峰值和打击力脉动幅值是衡量其射流性能的重要指标,对其进行准确预测具有重要的理论和工程实践意义。为探究自激振荡脉冲空化射流喷嘴内外流场的演化机理,建立该喷嘴射流过程仿真模型。以入口圆角、腔径、腔长、下喷嘴直径为设计变量,以打击力峰值和打击力脉动幅值为目标变量,将正交试验法、反向传播神经网络与非支配排序遗传算法相结合,确定自激振荡脉冲空化射流喷嘴协同优化设计方法。计算结果表明,在入口压力为1 MPa时,各因素对喷嘴综合射流性能影响的主次顺序依次为入口圆角、下喷嘴直径、腔径、腔长;协同优化结果比正交试验最优结果的打击力脉动幅值提升62.68%,打击力峰值提升1.13%;喷嘴最优结构能产生明显的脉冲空化射流,喷嘴内腔空化区域随时间做周期性缩张;入口压力越大,谐振腔内空化强度越高,射流中空泡含量越高。基于协同优化结果,采用3D打印技术加工自激振荡脉冲空化射流喷嘴流场可视化试验模型,通过试验验证仿真模型的正确性。所得结论为自激振荡脉冲空化射流喷嘴设计理论的发展提供支持。
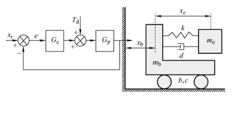
  • 胡俊宇, 韩旭, 陶友瑞, 李珊瑚, 张建宁
    机械工程学报. 2024, 60(16): 390-399. https://doi.org/10.3901/JME.2024.16.390
    摘要 ( ) PDF全文 ( )   可视化   收藏
    S形抑振轨迹规划方法因其高效便捷广泛用于柔性伺服系统残余振动抑制,实际抑振效果会受到伺服跟随误差的影响。基于区间过程模型,提出一种考虑跟随误差的伺服系统残余振动抑制可靠性分析方法。首先建立电机动子位移跟随误差的不确定程度到柔性末端振动响应区间的映射模型,为度量残余振动抑制的可靠性,分别提出残余振动能量抑制及振动抑制鲁棒性的可靠度评估模型。最后结合工程算例验证该方法的有效性,并量化位移跟随误差平稳区间过程特征参数(半径函数与自相关函数)对可靠度指标的影响程度。该可靠性分析方法为考虑跟随误差的柔性伺服系统残余振动抑制效果评估提供理论支撑。
  • 王文波, 张映锋, 顾寄南, 张耿, 完严
    机械工程学报. 2024, 60(16): 400-411. https://doi.org/10.3901/JME.2024.16.400
    摘要 ( ) PDF全文 ( )   可视化   收藏
    异常事件的主动感知与优化控制是制造系统可靠运行的关键。针对离散制造系统中生产环境不确定性强、关键性能退化规律复杂和数据云端融合时间长等带来的异常识别滞后与优化响应困难的问题,提出一种数据驱动的离散制造系统性能退化机理建模与预测控制方法体系。通过对基于边云协同的离散制造系统智能环境配置与性能提取、基于跨时空状态数据的制造系统关键性能退化机理建模、融合运维知识与预测性能的制造异常预警与主动优化控制等关键技术的深入分析和研究,建立一种具有边云协同交互决策能力的智能制造系统,并实现异常事件事前预警与主动自适应优化决策。所提体系架构和关键技术可以为下一代“智能工厂”的预测性控制方案的落地应用提供重要基础理论和技术支撑。
  • 郭飞燕, 肖世宏, 肖庆东, 王仲奇
    机械工程学报. 2024, 60(16): 412-428. https://doi.org/10.3901/JME.2024.16.412
    摘要 ( ) PDF全文 ( )   可视化   收藏
    装配是飞机研发中的关键环节之一,直接影响产品最终性能、质量及可靠性。随着数字化技术、高端制造装备的发展,零部件设计水平与加工一致性得到显著提高,飞机研制质量和整机装配性能的保障正在由最初的设计加工环节逐渐向装配环节转移,相关技术受到广泛关注。首先,根据飞机结构装配的技术内涵与外延,结合新一代飞机在结构、寿命、性能、材料方面在结构装配质量控制中带来的新难点,从装配精度传递与质量控制基础方法、复合材料装配等方面分析装配技术状态;其次,结合实际装配生产中的装配工艺及质量控制环节,指出现场装配中存在的工程瓶颈难题,并结合技术发展现状总结分析国内的技术差距,以此解析高性能装配的技术内涵且建立面向装配性能保障的“几何-力学-数据-质量”四维模型;最后,从几何-力学-数据三个方面出发,指出新一代飞机结构装配在基础理论与方法层面的发展思路及方向,为实现航空产品的高性能装配与可靠服役奠定坚实技术基础。
  • 何泽银, 向银, 陶平安, 曹昱坤
    机械工程学报. 2024, 60(16): 429-440. https://doi.org/10.3901/JME.2024.16.429
    摘要 ( ) PDF全文 ( )   可视化   收藏
    针对旋叶式压缩机启动阶段碰摩激励引起的异常振动问题,考虑转子、叶片和缸体的动态接触关系,以多刚体接触力与气体力为激励源,建立转子-叶片-缸体系统多体接触动力学模型,分析压缩机启动阶段碰摩动力学响应;而后,搭建压缩机振动测试试验台,验证启动阶段整机振动响应计算模型合理性。结果表明,整机碰摩振动试验与计算模型振动响应变化规律基本一致,验证了启动阶段整机振动响应计算模型的合理性;吸、排气压力差较小时,叶片与缸体、叶片槽发生了反复碰撞,整机振动出现明显锯齿波动;随着吸、排气压力差增大,叶片与缸体最终将保持稳定接触,转子及整机振动将趋于稳定;可设计油路机构缩短油路长度,以获得更快的背压响应,从而减小压缩机启动阶段振动时长;研究结果可为旋叶式压缩机碰摩振动控制提供参考。