2023年, 第59卷, 第18期 
刊出日期:2023-09-20
  

  • 全选
    |
    特邀专栏:人工自愈与装备自主健康
  • 高金吉
    机械工程学报. 2023, 59(18): 1-2. https://doi.org/10.3901/JME.2023.18.001
    摘要 ( ) PDF全文 ( )   可视化   收藏
  • 潘鑫, 彭瑞轩, 张皓宇, 吴海琦, 高金吉
    机械工程学报. 2023, 59(18): 3-12. https://doi.org/10.3901/JME.2023.18.003
    摘要 ( ) PDF全文 ( )   可视化   收藏
    在线自动平衡系统因可实时抑制设备运行过程中的不平衡振动,是以高端机床和航空发动机为代表的高端机械装备实现仿生人工自愈与装备自主健康的重要研究领域之一。所研发的新型电磁式自动平衡系统在继承现有执行器平衡速度快、信号无需动静传递等优点的基础上,通过永磁-电磁联合驱动以有效提高执行器工作过程中的驱动效率,仿真分析结果表明,该方法可有效提高执行器驱动效率20%以上;面向该新型平衡系统进行测控方法研究,通过仿真分析对测控电路中的反向电动势等关键参数进行定量优化;最后通过试验台模拟试验和实际机床现场试验验证该系统的有效性和可靠性。现场试验结果表明,该系统可在20 s内将机床的不平衡振动从6.8μm降低至0.7 μm,并有效提高加工工件的表面质量。
  • 李月昊, 胡茑庆, 程哲, 尹正阳, 黄良远
    机械工程学报. 2023, 59(18): 13-21. https://doi.org/10.3901/JME.2023.18.013
    摘要 ( ) PDF全文 ( )   可视化   收藏
    传统浮筏隔振系统为双层“质量-弹簧-阻尼”机械系统。基于机电相似理论,质量与一端接地电容对应,而惯容是与电容完全对应的双端机械元件。将惯容引入浮筏隔振系统,使浮筏动力学模型中双层质量间可产生可变惯性耦合,从而极大影响系统固有频率与隔振性能。浮筏的退化或异动会改变系统固有频率和力传递率。惯容惯质系数的增加会使浮筏固有频率降低并影响力传递率。将人工自愈的思想引入浮筏隔振系统,根据系统固有频率的监测结果来调节惯容惯质系数,将系统固有频率自主调整恢复至合适固有频率,即为基于惯容的浮筏隔振系统人工自愈技术。为验证该技术原理,搭建浮筏隔振系统实验平台,进行简谐激励扫频试验。试验结果验证基于惯容的浮筏隔振系统人工自愈技术的可行性。
  • 成建伟, 卜文俊, 施亮, 张源潮, 赵敬民
    机械工程学报. 2023, 59(18): 22-30. https://doi.org/10.3901/JME.2023.18.022
    摘要 ( ) PDF全文 ( )   可视化   收藏
    针对传统船舶主机对中控制方法并未考虑船体变形引起轴系对中偏移的不足,提出一种对中偏移补偿控制自愈调控方法。首先,构建船体变形轴系对中偏移监测方法和模型,解算出船体变形引起的轴系对中变化量。其次,与现有基于位移传感器监测计算的主机对中结果进行融合计算得出对中偏移补偿量;分析主机气囊隔振装置气囊承载力扰动特性,计算出气囊压力允许范围内的主机对中变化量,计算装置允许提供最大对中补偿量,判断出能否通过调整气囊隔振器气压补偿控制船体变形引起的对中偏移。最后,基于结构适应的对中偏移补偿控制自愈调控方法,调整气囊隔振器压力大小和分布状态,改变装置的承载力分布状态,改变装置力学特性,实现对中偏移自愈调控。试验研究验证了船体变形对中偏移自愈调控方法的有效性,能修复传统主机对中控制技术未考虑船体变形引起的轴系对中偏移的不足,对中偏移自愈调控方法对实现潜航器长周期运行、不同潜深工作具有重要意义。
  • 宾光富, 钟新利, 张阳演, 杨峰, 陈安华
    机械工程学报. 2023, 59(18): 31-41. https://doi.org/10.3901/JME.2023.18.031
    摘要 ( ) PDF全文 ( )   可视化   收藏
    针对涡轮增压器转子系统运行过程中频繁启停机、工作转速区间跨度大、转速变化快等条件下振动难以控制的问题,基于人工自愈工程理念,研究全转速范围油膜间隙与转子系统振动响应特性,提出采用压电陶瓷调节浮环轴承外油膜间隙改变系统阻尼从而实现转子系统振动快速、准确的控制。以某型汽油机涡轮增压器转子系统为例,分析推导出轴承油膜阻尼系数与其间隙的三次方成反比特性。构建不同外油膜间隙下浮环轴承转子系统动力学有限元模型,进行时域和频域非线性瞬态响应分析,得到全转速下的通频振幅和振动瀑布图,找出低中高三个转速段下转子系统最小振动幅值所对应的最佳油膜间隙,从而构建出油膜间隙与振动响应的映射矩阵。设计基于压电驱动下轴承座的外油膜间隙调节装置,采用分转速段振动主动控制策略,搭建相应的振动控制模拟试验装置,验证该控制系统的轴承间隙调节时间小于10 ms,最大位移误差小于0.5 mm,可满足实时振动控制的要求。该方法可为高速转子机械振动控制提供新的思路。
  • 任萌, 朱丽娜, 于鹤龙, 邢志国, 王海斗, 徐滨士
    机械工程学报. 2023, 59(18): 42-53. https://doi.org/10.3901/JME.2023.18.042
    摘要 ( ) PDF全文 ( )   可视化   收藏
    机械损伤状态监测技术结合多种监检测手段与先进传感器技术,实时或定期提取机械运行过程中材料变形、蠕变、裂纹、剥落等损伤信息,及时掌握装备健康状态,从而确保装备高效运行,合理规划维修时机,有效避免事故,是机械装备故障诊断和智能运维领域的重要技术支撑。基于智能材料与智能结构的损伤状态监测过程具有响应快速、定量精确、定位精准的特点,满足机械结构复杂化、机电一体化、操控智能化、作业连续化发展对健康状态监测的新需求,是装备健康状态检测技术发展的新方向。介绍典型损伤监测智能材料的结构与原理,综述面向机械磨损、疲劳和腐蚀等主要损伤模式的状态监测智能材料研究进展,指出损伤监测智能材料未来的发展重点。
  • 尹艳丽, 于鹤龙, 王红美, 魏敏, 史佩京, 白志民, 张伟
    机械工程学报. 2023, 59(18): 54-68. https://doi.org/10.3901/JME.2023.18.054
    摘要 ( ) PDF全文 ( )   可视化   收藏
    采用SRV滑动磨损试验机探究表面有机改性的蛇纹石/纳米铜复合作为减摩自修复添加剂对与钢配副的锡青铜抗磨减摩性能的影响。采用扫描电子显微镜、X射线能谱仪、X射线光电子能谱仪、纳米压痕仪等分析锡青铜磨损表面和截面微观形貌、元素种类与化学状态、纳米力学性能等,并探讨蛇纹石和纳米铜复合对锡青铜的减摩抗磨机理及二者的协同作用机制。结果表明:单组分蛇纹石、纳米铜添加剂均能改善锡青铜的摩擦学性能,而复合后改善效果显著增强,与基础油润滑下相比,锡青铜的摩擦因数减小26.3%~39.2%,磨损体积降低72.6%~88.9%。摩擦过程中,蛇纹石和纳米铜发挥摩擦学正协同作用,在锡青铜表面形成了由金属氧化物、硅的氧化物、硫化物、石墨、有机物、纳米铜颗粒等构成的复合自修复膜,该自修复膜具有多层结构且较为致密光滑,厚度达到3.73 mm,其力学性能具有内部高、表面低的梯度变化,有利于提高锡青铜的摩擦学性能。
  • 王立勇, 吴健鹏, 李乐, 王华庆, 陈睿涵, 舒越超
    机械工程学报. 2023, 59(18): 69-79. https://doi.org/10.3901/JME.2023.18.069
    摘要 ( ) PDF全文 ( )   可视化   收藏
    针对摩擦界面常见的犁沟损伤形式设计“损伤-自愈”试验,提出摩擦界面自愈性能表征方法。基于摩擦界面自愈性能表征参数,综合分析粉末冶金摩擦材料特定工况的自愈性能演变历程,评估自愈时间。最终,通过三组对比试验分析环境温度、转速、压力三个主要因素对自愈性能的影响规律。结果表明,温度、压力对自愈性能的影响显著,转速的提升可以促进浅蓝色矿物性化合物新相的形成以及非金属组分的均匀填充,但对损伤边界的硬度影响不明显。本研究为摩擦材料界面修复技术提供了新思路,促进了摩擦界面“损伤-自愈”性能研究的工程应用。
  • 张鹏, 苏云鹏, 刘卫胜, 聂子丰, 罗杨
    机械工程学报. 2023, 59(18): 80-94. https://doi.org/10.3901/JME.2023.18.080
    摘要 ( ) PDF全文 ( )   可视化   收藏
    人工自愈理论类比生物体自愈过程,为降低系统设计过程复杂性提供了新思路。目前人工自愈理论研究多集中在结构和参数层面,功能层面人工自愈理论的相关研究较少。将人工自愈理论与设计过程复杂性理论结合,提出基于设计过程复杂性的功能自愈设计过程模型,功能自愈是对人工自愈理论中结构自愈与参数自愈的有益补充,旨在功能层面降低系统复杂性,提高系统自愈能力;在概念设计阶段,通过功能元-功能模型的转化方式,应用TRIZ中的功能等级算法,对系统功能按类型进行划分,依据功能等级进行排序,提出功能自愈优先级判别标准;通过在系统中构建功能周期,提高系统功能实现概率,并在功能周期中为目标功能赋予功能自诊断,功能自恢复的能力扩展功能周期,进一步提高系统功能实现概率,与系统结构自愈参数自愈结合,提高系统人工自愈能力,最后通过智能光伏除尘系统设计过程验证功能自愈理论的科学性。
  • 王忻, 尹逊和, 梁华清, 陈丽红
    机械工程学报. 2023, 59(18): 95-110. https://doi.org/10.3901/JME.2023.18.095
    摘要 ( ) PDF全文 ( )   可视化   收藏
    提出基于状态观测器的自愈控制方法。为了对网络控制系统中发生的执行器故障/传感器故障进行检测和诊断,改进基于状态观测器的故障诊断方法,该方法利用Lyapunov稳定性理论和线性矩阵不等式法获得观测增益矩阵和故障估计增益参数;同时,为了改善执行器故障估计过程中的延时的问题,设计执行器故障估计辅助信号。其次,为了提高故障检测的实时性,改进故障检测策略;通过对执行器故障估计和传感器故障估计的试验数据的分析,设计最优故障定位方法,解决对网络控制系统中的故障进行快速定位的问题。再次,为了降低故障对网络控制系统性能的影响,设计故障诊断与基于控制律重构相结合的自愈控制方法。最后,在搭建的网络控制系统中对提出的自愈控制方法进行仿真验证。
  • 暴一帆, 姚剑飞, 高金吉
    机械工程学报. 2023, 59(18): 111-120. https://doi.org/10.3901/JME.2023.18.111
    摘要 ( ) PDF全文 ( )   可视化   收藏
    旋转机械转子在运行过程中受到周期性干扰力的激励,振动频率多与转子转速相关,呈现出同频、整数倍频和分频的特点。针对旋转机械所受的多频激励,将转子振动的各频率成分作为抑制靶点,将电磁作动器作为执行机构,提出一种基于自适应浸入和不变理论的转子多频振动靶向抑制方法。该方法在笛卡尔转换坐标系下对多频激励进行矢量分解,将高阶非线性系统浸入到低阶目标系统,且设计的控制算法使目标系统的像具有不变流形吸引性。设计陷波滤波器,提取振动信号的频率成分,该滤波器可根据实时转速自调整陷波频率,以应对转速波动的影响,满足多转速抑制的需要。建立转子-轴承-电磁作动器系统的有限元模型以及实时控制试验台,仿真和试验结果表明,所提方法可以有效地抑制转子多频振动,且鲁棒性较好。
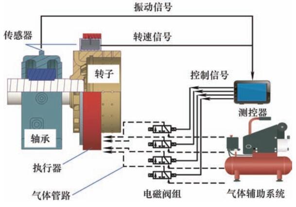
  • 霍家骥, 于洪杰, 潘鑫, 江志农, 宾光富
    机械工程学报. 2023, 59(18): 121-129. https://doi.org/10.3901/JME.2023.18.121
    摘要 ( ) PDF全文 ( )   可视化   收藏
    压液式在线自动平衡系统作为一种新型的液体式自动平衡系统,具有结构简单、旋转部分无可动部件、动作环境封闭、平衡过程可逆且可停机保持等优点。相较于已有其他在线自动平衡系统,更适用于大型旋转设备领域。介绍该在线自动平衡系统的组成及工作原理,基于某最大直径达500 mm的转子实际结构,通过有限元仿真对转子-轴承-单/双平衡执行器系统的动力学特性进行定量分析,据此设计的平衡执行器对原转子系统的动力学特性影响在2%以内;分别进行单/双平衡执行器的抑振效果模拟仿真,振幅降低70%以上。最终在模拟试验台上,通过单面自动平衡试验将转子振幅从18.6 μm降至10.6 μm,验证该平衡系统的可行性和有效性;通过双面动平衡将转子振幅从17.8 μm降低至4.6 μm,为后续双面自动平衡研究奠定技术基础。
  • 材料科学与工程
  • 苏彬, 闫春泽, 史玉升
    机械工程学报. 2023, 59(18): 130-143. https://doi.org/10.3901/JME.2023.18.130
    摘要 ( ) PDF全文 ( )   可视化   收藏
    柔性磁电材料,是将低弹性模量的磁性物质和导电物质分散在柔性介质中的一类复合材料。柔性磁电材料体系着重于“磁性材料”与“导电材料”的协同作用。在外力作用下,体系内“磁性部分”与“导电部分”之间相互作用发生改变,从而获得力-电的转换性能。综述目前柔性磁电材料体系的研究进展;归纳三种柔性磁电材料体系的工作方式,即外力作用下柔性磁部分发生形变、柔性导电部分发生形变以及柔性磁部分与柔性导电部分之间的作用距离改变;介绍基于粉材、丝材以及光固化增材制造技术成形的柔性磁电材料体系,总结其在自供能感知与能源俘获领域的应用,最后探讨柔性磁电材料体系目前存在的问题及发展趋势。通过对新型柔性磁电材料的设计与制造进行阶段性总结,为其后续在人机交互、柔性传感及医疗康复领域的应用奠定了基础。
  • 吴代琼, 苏琼, 陈磊, 吴平, 王彦斌, 孙初锋, 陈建敏
    机械工程学报. 2023, 59(18): 144-153. https://doi.org/10.3901/JME.2023.18.144
    摘要 ( ) PDF全文 ( )   可视化   收藏
    石墨烯作为新型二维纳米材料具有诸多优异的性能,被广泛应用于聚合物复合材料的力学补强和功能化。然而,如何有效控制石墨烯二维纳米材料(2D石墨烯)在聚合物基体中的堆叠结构和定向有序排布以提高材料的可设计性和综合性能,一直是研究者们所关注的问题。借助外力实现石墨烯类二维片层填料在连续相介质中的定向有序排布可突破现有石墨烯复合材料的性能使用极限。实现石墨烯类二维片层填料定向有序排布的方法主要有层层自组装、抽滤诱导自组装、挥发诱导自组装和外场诱导法等。结合目前国内外研究进展,论述在复合材料中定向排布的主要方法和应用进展,重点讨论外加能场诱导石墨烯定向有序排布在复合材料中存在的不足。此外,展望定向有序排布石墨烯复合材料的未来发展趋势。
  • 王雨, 程耿东, 李凯
    机械工程学报. 2023, 59(18): 154-164. https://doi.org/10.3901/JME.2023.18.154
    摘要 ( ) PDF全文 ( )   可视化   收藏
    结构安定分析是结构设计和完整性分析的一个重要问题。原对偶本征应力驱动算法(Primal-dual eigenstress-driven method,PEM)是一种有效的两水平嵌套的结构安定分析算法,可与商业有限元集成应用于实际工程问题,但计算效率仍存在进一步提升的空间。结合基降阶策略和原对偶本征应力驱动方法提出了高效安定性分析数值算法,利用PEM法每轮迭代形成的残余应力场作为基向量,与相应载荷顶点的弹性应力场叠加将安定分析问题简化为一维优化问题,降低优化变量的数量,利用一维搜索0.618法,结合PEM方法为安定乘子提供了更为准确的估计。该算法避免繁琐的塑性增量分析,仅进行有限次的弹性分析与迭代及高效的一维搜索,可以显著提高算法计算效率,并获得准确的残余应力场。结合ANSYS APDL二次开发实现算法,通过圆孔方板、Bree板、三维框架三个例题,进一步验证此算法的有效性。
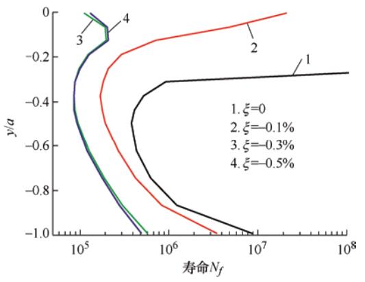
  • 杨博文, 高强, 王硕, 霍军周
    机械工程学报. 2023, 59(18): 165-174. https://doi.org/10.3901/JME.2023.18.165
    摘要 ( ) PDF全文 ( )   可视化   收藏
    航发叶片与轮盘连接处长时小幅相对位移将产生微动疲劳,交变载荷受温度效应对结构造成严重损伤。现有疲劳寿命模型预测未能充分考虑高温对微动疲劳的影响,预测结果与工程实际寿命存在较大差距。因此,需建立一种考虑温度效应微动疲劳寿命预测模型。以航空发动机燕尾榫结构为研究对象,设计高温燕尾榫微动疲劳试验,探讨高温对微动疲劳损伤的影响。基于燕尾榫的高温微动疲劳试验,探究高温对其微动疲劳损伤的影响机制,提出一种考虑温度效应的燕尾榫高温微动疲劳寿命预测模型,并通过试验验证准确性。结果表明:所提模型与试验数据之间具有良好的相关性,证明该模型具有良好的预测精度,其预测误差小于19.24%,预测结果位于±1.5倍分散带内,为航空发动机燕尾榫的结构优化改进与损伤容限设计提供理论依据。
  • 石岩, 张恒
    机械工程学报. 2023, 59(18): 175-185. https://doi.org/10.3901/JME.2023.18.175
    摘要 ( ) PDF全文 ( )   可视化   收藏
    面向选区激光熔化(Selective laser melting,SLM)增材制造轻质高强多孔结构的需求,采用拓扑优化设计方法,通过调节孔隙率和载荷施加位置对正六面体进行结构优化,得到了点、线和面拓扑多孔结构,并利用SLM技术制备了AlSi10Mg多孔结构试样。通过压缩试验测试多孔结构的力学性能,采用有限元法分析多孔结构的破坏机理。结果表明,随着孔隙率的增加,点、线和面拓扑多孔结构的屈服强度和弹性模量逐渐降低。有限元分析表明,面拓扑多孔结构的应力分布是最均匀,在相同压缩位移下,面拓扑多孔结构的力学性能最佳,线拓扑多孔结构次之,点拓扑多孔结构的力学性能最差。该结果证明了面拓扑优化是三种优化方式中最理想的一种。采用经典的Gibson-Ashby模型建立了力学性能与几何参数之间的数学关系,可用来预测三种多孔结构的孔隙率与力学性能关系,为多孔结构的应用提供了理论依据。
  • 陈义斯, 芦刚, 严青松, 黄普英, 徐翩, 毛蒲, 周泽远
    机械工程学报. 2023, 59(18): 186-195. https://doi.org/10.3901/JME.2023.18.186
    摘要 ( ) PDF全文 ( )   可视化   收藏
    为进一步提升复杂薄壁铝合金构件力学性能,尤其是抗高温蠕变能力,基于真空差压铸造工艺,分别采用稀土钇(Y)、铈(Ce)元素对ZL114A进行变质处理。系统测试了样品硬度、拉伸性能、蠕变应变,观察分析稀土元素对合金组织结构演变的影响,揭示变质ZL114A蠕变机制及强化机理。结果表明,随着Y、Ce含量的增加,ZL114A力学性能均呈先增大后减小的趋势,最优稀土添加量为0.3 wt.%,此时蠕变应力指数分别为3.52和3.88,蠕变过程均由位错粘滞性滑移主导。稀土元素在提升成分过冷的同时可形成异质形核核心,故a-Al晶粒得到一定细化,共晶硅相由碎片状转变为纤维状,原枝晶组织逐渐球化并向等轴晶发展。此外,稀土Y倾向点块状析出,而富Ce相则呈丝带状组织,二者主要分布于晶界处并部分固溶于合金基体。稀土原子起到钉扎作用阻碍位错运动进而强化晶界,并抑制高温下Mg2Si粗化分解以及Mg元素扩散造成的耐热性弱化。归因于稀土原子尺度差异造成的分布形态不同,Y变质效果相对更好。
  • 唐玉玲, 闫福棣, 张峻霞, 周振功, 郭颖, 姜美娇
    机械工程学报. 2023, 59(18): 196-206. https://doi.org/10.3901/JME.2023.18.196
    摘要 ( ) PDF全文 ( )   可视化   收藏
    对碳/碳(C/C)编织复合材料沉头螺栓与凸头螺栓连接结构在面外载荷下的拉脱强度进行试验和数值研究。测试不同螺栓形式及沉头角度的C/C编织复合材料螺栓连接结构在面外载荷下的失效模式和拉脱性能。结果显示,螺栓形式对结构的拉脱性能有显著的影响,凸头螺栓的载荷位移曲线有明显的线性阶段,接近于脆性失效,沉头螺栓的载荷位移曲线为非线性,表现为双峰值,其更接近于塑性失效。采用ABAQUS建立了基于Hashin失效准则的连接结构非线性接触模型,有效预报了C/C编织复合材料连接结构的失效模式及载荷-位移曲线。得到C/C编织复合材料连接结构渐近损伤过程及失效机理,给出连接参数(螺栓形式、沉头角度和约束面积)对拉脱失效的影响机制。随着沉头螺栓角度的增加,结构的拉脱失效载荷先增加,后降低,在110°附近达到极值,约束区域尺寸变化导致凸头螺栓的失效模式由剪切失效转变为弯曲失效。
  • 唐树伟, 罗东明, 吴孟修, 张静怡, 贺子康
    机械工程学报. 2023, 59(18): 207-218. https://doi.org/10.3901/JME.2023.18.207
    摘要 ( ) PDF全文 ( )   可视化   收藏
    采用第一性原理计算方法研究了AlCu3合金及Mg、Ag、Si在Al位或Cu位通过取代掺杂方式形成的Al7Cu24X和Al8Cu23X (X=Mg,Ag,Si)合金体系的结构稳定性、电子结构和力学性能。Mg、Ag、Si倾向于在Cu位进行取代掺杂,对AlCu3合金晶体几何结构影响较小,Al7Cu24X和Al8Cu23X (X=Mg,Ag,Si)体系具有很好的热力学稳定性和机械稳定性。态密度和差分电荷密度计算结果表明,Al7Cu24X和Al8Cu23X (X=Mg,Ag,Si)掺杂体系仍然保持明显的AlCu3合金特征,Cu 3d价电子轨道对Al7Cu24X和Al8Cu23X (X=Mg,Ag,Si)掺杂体系的总态密度具有主要贡献,Si、Mg元素掺杂对原结构产生的影响较小,而Ag原子由于4d轨道电子的存在会加强原子间的键合作用。力学性能的计算结果表明,Mg掺杂能够有效提升AlCu3合金的延展性及塑性性能,Al7Cu24X和Al8Cu23X (X=Mg,Ag,Si)体系均为各向异性的韧性材料,能够有效地提升AlCu3合金材料硬度及抗变形能力。因此,X (X=Mg,Ag,Si)取代掺杂提高了AlCu3合金材料的综合力学性能。
  • 肖红, 王璞, 朱晶亮, 陈希青, 唐海燕, 肖晓丹, 张家泉
    机械工程学报. 2023, 59(18): 219-227. https://doi.org/10.3901/JME.2023.18.219
    摘要 ( ) PDF全文 ( )   可视化   收藏
    高拉速高质量连铸生产是当前钢铁冶金领域中绿色低碳发展的重要路径。基于汽车板生产用1 000 mm×230 mm断面连铸板坯结晶器内的钢水传输行为研究,探究一种行波磁场减速模式(EMLS)对水口侧孔射流及其钢坯质量的影响。根据电磁热流体与凝固传输理论建立了三维耦合数值模型,利用电导率等效法测试装置测量电磁力校验了模型的准确性,并提出了电磁控流作用下的结晶器综合冶金性能评价依据。结果表明,EMLS电磁力在结晶器宽面两侧呈大小相等、方向相反分布,最佳工作频率为4 Hz,其电流强度对电磁力的影响起主导作用。指出,当前浇铸条件下EMLS的最佳减速电流为200 A。此时,电磁力方向具有指向水口两侧出钢口且略微向下的特征,可以较好地控制其侧孔射流对初凝坯壳的冲刷强度,同时也避免了电磁力作用下弯月面波动过大和钢液冲击深度加深的问题。综合表明,合理利用行波磁场减速控流有望较好地解决当前常见的结晶器液面卷渣和凝固钩对夹杂物与气泡的捕捉,从而有利于提高后续IF钢冷轧板的表面质量。
  • 张健, 肖昂, 张澳, 刘俊艺, 张明军, 彭平
    机械工程学报. 2023, 59(18): 228-238. https://doi.org/10.3901/JME.2023.18.228
    摘要 ( ) PDF全文 ( )   可视化   收藏
    采用第一性原理计算方法,系统研究强碳化物形成元素X (X=Mn、Ti、V、Zr、Nb、Mo、Hf、Ta、W)掺杂的Ni-Cr钎料钎焊金刚石界面微观作用行为及机理,并通过钎焊金刚石试验对计算结果进行验证。嵌入能、界面分离功及界面能的计算结果表明,强碳化物形成元素X均倾向于在Ni-Cr钎料与金刚石的界面处偏析,并且不同程度地增强Ni-Cr钎料与金刚石的界面结合强度与稳定性,其中,Hf、Ta、Zr、Nb、W的强化效果尤为明显;电子结构分析表明,强碳化物形成元素X的掺杂可促进Ni-Cr钎料中的Cr原子与金刚石中的C原子成键,有效改善Ni-Cr钎料对金刚石的润湿性,同时还削弱Ni元素对金刚石石墨化的催化作用。基于Nb掺杂Ni-Cr钎料的钎焊金刚石试验表明,Nb掺杂使得Ni-Cr钎料对金刚石的爬升效果更为明显,界面冶金反应更为充分,金刚石表面生成Cr3C2和Cr7C3两种碳化物,界面得到有效强化;同时,Nb掺杂还明显削弱Ni元素对金刚石的石墨化催化作用,进而提高钎焊金刚石试件的加工性能,很好地验证理论计算结果。研究工作为基于材料基因组理念的钎焊金刚石钎料设计开发提供理论依据与参考。
  • 运载工程
  • 刘广宇, 宫岛, 周劲松, 任利惠, 王泽根, 孙维光, 唐继烈
    机械工程学报. 2023, 59(18): 239-250. https://doi.org/10.3901/JME.2023.18.239
    摘要 ( ) PDF全文 ( )   可视化   收藏
    高速动车组车体的弹性振动控制对车辆运行品质的提升具有重要意义,依据车体主要弹性模态振动贡献,一种借由现有不同悬挂设备作为动力吸振器,且通过对设备的悬挂参数设计实现车体精准弹性振动控制的方法被提出。基于模态叠加理论,提出基于奇异值分解(Singular value decomposition,SVD)及最小二乘拟合的模态振动提取方法,将动车组车体物理振动解耦为模态振动,提取出车体各阶模态振动。分析不同车体模态对车上、车下设备安装位置处振动的贡献,据此,将设备考虑为动力吸振器,确定各设备所要制振的目标车体模态。采用固有模态法,辨识制振的目标车体模态在各设备安装位置处的等价质量,基于动力吸振理论,设计各设备的垂向和横向最优固有频率及阻尼比,并通过仿真试验对振动控制效果进行验证。结果表明,基于动力吸振的设备减振设计能够有效降低目标模态的振动,提高车辆运行平稳性。同时,在设备最优阻尼比作用下,作为动力吸振器的设备自身振动并不剧烈。
  • 高镇海, 于桐, 孙天骏, 唐明弘, 高菲, 赵睿
    机械工程学报. 2023, 59(18): 251-262. https://doi.org/10.3901/JME.2023.18.251
    摘要 ( ) PDF全文 ( )   可视化   收藏
    自动驾驶车辆已经成为当前汽车行业的研究热点。运动控制算法在很大程度上决定自动驾驶汽车的安全性和驾乘人员的接受度。自动驾驶控制算法的精度日益提高,然而其与驾驶员控制风格的一致性仍然较低,这会降低驾乘人员的体验感与接受度。此外,现有方法仍存在大量需要人工标定的参数,导致算法部署时的工作量较大。针对以上问题,提出车辆纵向驱动控制仿人神经网络(Vehicle longitudinal drive control human-like neural network,LCN),并以此为基础构建了仿人机理的控制模型,其控制风格与驾驶员的一致性较高且能够实现参数的自学习标定。LCN的设计基于对人类驾驶行为的分析,其将驾驶员的控制机理与数据驱动方法相结合,并通过独特的网络架构设计将驾驶员机理中的容差控制特性与时延响应特性融入LCN。试验结果表明,所提出模型的控制风格更接近人类,且能够实现对车辆动力学特性的自估计与参数的自标定。
  • 李俊杰, 任尊松
    机械工程学报. 2023, 59(18): 263-270. https://doi.org/10.3901/JME.2023.18.263
    摘要 ( ) PDF全文 ( )   可视化   收藏
    针对高速动车组转向架构架实际线路测试载荷不能直接用于构架结构设计的问题,开展高速列车构架载荷谱建立的载荷扩展方法研究。提出一种基于疲劳极限的构架载荷谱扩展方法。首先根据应力损伤特点,通过聚类算法将构架进行应力区域划分;分析不同应力区域测点载荷灵敏度及损伤分布特性,确定不同应力区域的主导载荷以及应力扩展关键点;基于疲劳极限,建立各应力区域的载荷扩展模型并对构架载荷进行扩展。研究结果表明,根据受力情况构架可划分为7个不同的应力区域,各应力区域主导载荷有所不同。不同应力区域应力损伤分布总体趋势相似,最大应力测点保持稳定是载荷扩展的基础;除扭转载荷、横向载荷和制动载荷外,其余载荷扩展得到的设计载荷与EN13749标准规定的设计载荷接近。研究工作为载荷谱扩展提供了一种新思路,为构架结构设计提供基于实际线路测试载荷的设计载荷奠定了基础。
  • 王跃飞, 王志, 孙睿, 王超, 肖锴, 潘斌
    机械工程学报. 2023, 59(18): 271-282. https://doi.org/10.3901/JME.2023.18.271
    摘要 ( ) PDF全文 ( )   可视化   收藏
    车辆“碳达标”与“碳中和”是实现全社会碳达标的重要组成部分。为降低智能网联混合动力汽车(Intelligent connected HEV,ICHEV)总排放量,提出一种基于驾驶意图多步预测(Multi-step prediction of driving intention,MPDI)的ICHEV等效排放最小(Equivalent emissions minimization strategy,EEMS)能量在线管理策略。首先,给出车联网V2X下驾驶意图在线预测流程,构建基于CNN-LSTM的驾驶意图单步预测深度学习模型,提出驾驶意图多步递归预测方法;其次,考虑到发动机最大效率区与尾气最小排放区不一致,建立ICHEV等效尾气排放模型,提出基于EEMS的能量在线管理策略;再次,分析驾驶意图频繁变化对EEMS的扰动影响,设计基于MPDI的整车需求功率求解算法,给出EEMS策略的哈密顿函数求解方法。实验结果表明,基于MPDI的EEMS策略可有效降低ICHEV尾气排放量,与传统能量管理策略相比平均降低了25%。
  • 李伟, 周志军, 温泽峰, 姚学东, 赵鑫
    机械工程学报. 2023, 59(18): 283-293. https://doi.org/10.3901/JME.2023.18.283
    摘要 ( ) PDF全文 ( )   可视化   收藏
    为分析轮轨非稳态载荷与钢轨疲劳裂纹萌生的关系,利用有限元法建立二维轮轨非稳态循环滚动接触有限元模型。非稳态以移动法向载荷随时间简谐变化实现,采用考虑棘轮效应的JIANG-SEHITOGLU循环塑性本构模型,计算不同轮轨循环接触状态下的残余应力、应变场,结合多轴疲劳损伤模型,分析钢轨疲劳启裂寿命、位置和方向。计算结果表明,轮轨非稳态循环滚动会引起钢轨接触表面波浪形塑性变形,其波长与载荷压力波长一致。随着循环滚动次数累加,残余应力和剪切应变在钢轨表面变形的波峰和波谷处逐渐增大,并在滚动次数达到40次后趋于稳定,且在波谷处大于波峰处;在钢轨表层产生的轴向残余应力大于纵向。轮轨蠕滑率对钢轨轴向和纵向残余应力影响较小,对残余剪切应变影响较大。车轮单次滚动过于低估残余应力应变和疲劳寿命;考虑车轮循环滚动时,轮轨接触斑全滑动时的钢轨启裂寿命为纯滚动时的4.5倍;波谷位置处的钢轨启裂寿命为波峰位置处的1.4倍。
  • 曹洪涛, 申彦, 潘冬, 袁宝峰, 刘岩松, 邹猛
    机械工程学报. 2023, 59(18): 294-303. https://doi.org/10.3901/JME.2023.18.294
    摘要 ( ) PDF全文 ( )   可视化   收藏
    开展祝融号火星车前进越障性能地面模拟试验,可为其在火面复杂环境下巡视探测提供数据支撑和通过性判断依据。文章基于车辆地面力学理论,采用祝融号火星车地面模拟车,以行驶速度、石块数量及高度为试验因素;机构功率、电流为试验指标,进行火星车前进越障性能试验。结合试验与理论分析,祝融号火星车最终的越障能力h/D高于0.5;试验结果表明,整车平均功率及电流变化趋势规律性明显,越障时会出现明显的坡峰,可判断火星车何时越障、越障状态等;三种试验因素对整车功率及电流的变化具有正相关的关系,其中三种试验因素对试验指标影响的主次顺序为:行驶速度>越障数量>石块高度。速度由50 m/h增至100 m/h、200 m/h时,对平均功率增幅的影响在50%~200%,对平均电流增幅的影响在20%~60%。石块数量从0块增至6块时,平均功率增幅在20%~30%,平均电流增幅在19%~25%。石块高度在100 mm和200 mm时平均功率比50 mm时增大0%~10%和10%~20%。平均功率与电流增幅均在10%~20%。结果说明,火星车具有良好的越障性能,可越过200 mm障碍物,其车轮结构、机构设置均能应对严苛的行驶环境。
  • 张峻瑞, 张军, 马贺, 窦蕴平
    机械工程学报. 2023, 59(18): 304-311. https://doi.org/10.3901/JME.2023.18.304
    摘要 ( ) PDF全文 ( )   可视化   收藏
    为研究轨道车辆轮对通过磨耗后道岔固定辙叉的接触磨耗问题,搭建一种全尺寸轮对-固定辙叉试验台进行轮对通过辙叉的试验研究。并根据轮对过叉接触位置试验结果,选取5个典型接触位置建立轮对固定辙叉弹塑性接触模型,通过有限元仿真计算对轮叉间的接触斑与等效应力进行分析。由轮叉试验得出车辆轮对顺向(由心轨端驶向翼轨端)通过固定辙叉时,从距离理论尖端225 mm至237 mm位置处轮对与心轨翼轨同时接触;由有限元计算可知,辙叉心轨等效应力很大,易发生严重的磨耗;轮对过叉过程中,垂向位移会有明显的降低,且过叉速度越小,垂向位移相对降低值越大;轮对过叉方向不同,对辙叉最大冲击作用位置不同,但由于对中位置轮对与心轨的接触面积比翼轨小得多,故固定辙叉心轨磨耗比翼轨严重;有限元计算与试验研究结果相一致,为减缓辙叉磨耗提供有效试验方法。
  • 陈兆玮, 王浪, 袁密奥, 李世辉, 蒲前华, 杨吉忠, 陈志辉
    机械工程学报. 2023, 59(18): 312-326. https://doi.org/10.3901/JME.2023.18.312
    摘要 ( ) PDF全文 ( )   可视化   收藏
    我国新规划山区齿轨铁路中存在超大坡度桥梁结构,在其运营过程中(特别是温度作用下),由于桥梁与齿轨的结构连续性不同,桥梁端部纵向伸缩变形远大于齿轨变形,引发齿轨局部应力过大,导致结构损伤,威胁车辆运行安全。针对温度荷载引起的车辆-齿轨(轨道)-桥梁系统非线性动力相互作用问题,基于车辆-轨道耦合动力学理论,详细考虑齿轮-齿轨非线性啮合行为和轮轨非线性接触行为,构建温度荷载下车辆-齿轨(轨道)-桥梁系统非线性动力作用研究方法和理论模型;在此基础上研究温度荷载、齿轮-齿轨作用、轮轨作用及多荷载耦合对齿轨变形、振动及应力等力学特性影响,提出保证超大坡度桥梁-齿轨系统匹配和行车安全性方法。研究表明,不同荷载下,桥梁间隙附近齿轨与桥梁变形存在不协调性,齿轨及螺栓出现断裂,严重威胁齿轨系统安全性;齿轨振动主频在100 Hz左右;齿轨应力主要为拉压应力及弯曲应力,最大应力为898 MPa,超过齿轨抗拉强度;紧固件螺栓最大剪切应力为1.51×103 MPa,达到剪切强度643%。建议采用弹性扣件连接齿轨和轨枕能够有效降低齿轨和螺栓的应力,保障齿轨系统安全性。研究成果可为我国齿轨铁路前期设计及后期运维提供理论依据。
  • 交叉与前沿
  • 刘中天, 黄护林, 王彦利, 王少政, 黄山
    机械工程学报. 2023, 59(18): 327-336. https://doi.org/10.3901/JME.2023.18.327
    摘要 ( ) PDF全文 ( )   可视化   收藏
    针对液态金属磁流体(Liquid metal magnetohydrodynamic,LMMHD)发电系统,设计出四种气—液态金属两相混合器,对液态金属(镓铟锡合金)和二氧化碳气体在混合器及发电通道内的两相流场进行模拟和对比分析,同时对具有最佳混合效果的混合器所连接的发电通道的发电性能进行研究。结果表明,利用诱导磁场法预测计算得到的空载电压计算值与理论值相比,误差小于5%;在相同气液入口压力(pl=pg=1.5 MPa)条件下,不同气液两相混合器结构可以产生搅拌流、环状流、弹状流和分散流等流型;在不同气液入口压力下,综合考虑发电通道内的两相流型、液态金属的平均体积分数、平均速度和均匀度,发现双喷嘴式混合器(model 4)的混合效果最佳;此外,发电通道内的电流密度和平均电磁功率密度的大小均与液态金属的体积分数呈正相关。
  • 梁涛, 权龙, 葛磊, 王永进
    机械工程学报. 2023, 59(18): 337-348. https://doi.org/10.3901/JME.2023.18.337
    摘要 ( ) PDF全文 ( )   可视化   收藏
    工程机械普遍采用集中动力源供能的液压多执行器技术,输出力大、功率密度高,但存在能量利用率低的致命不足。尤其对于执行器复合动作,载荷差异造成的过大节流损失,至今难以找到有效的解决方案。为此,提出多执器载荷差异电液储能均衡系统,采用电液复合储能调控原理对执行器非驱动腔压力进行调控,使各执行器驱动腔压力相等,在同一套硬件基础上,有效降低载荷差异造成的节流损失,同时高效回收了执行机构重力势能。首先对所提系统单执行器的速度和压力控制特性进行试验研究,在此基础上以液压挖掘机为应用对象,对所提系统多执行器复合动作特性进行研究。仿真和试验结果表明,系统具有良好的轨迹跟踪性能和压力控制特性。并且在挖掘机动臂和铲斗复合动作工况下,与电液流量匹配系统相比,所提系统的节流损失降低了75%,能耗降低了12.7%,系统能量回收效率为30.3%,并提升了多执行器复合动作的协调性。新的节能方案同样适用于其他多执行器复合作业的工程机械。
  • 杨文振, 刘禹, 刘瑞, 谢晋, 熊壮, 唐彬, 徐康
    机械工程学报. 2023, 59(18): 349-356. https://doi.org/10.3901/JME.2023.18.349
    摘要 ( ) PDF全文 ( )   可视化   收藏
    液态金属基微流体惯性开关,因其集感控于一体而得到重点关注。在开关设计中,改变流体与微通道壁面的接触角可以实现开关阈值范围的调节,提高微流体惯性开关的灵敏性。面向镓铟锡合金基微流体惯性开关,研究通过刻蚀-相分离法对微流道基底(Polymethyl methacrylate,PMMA)进行表面超疏液改性,使PMMA表面同时发生化学刻蚀、相分离和SiO2沉淀过程,进而形成PMMA-SiO2的梯度粗糙表面。详细研究溶剂配置、成分配比和反应工艺参数对PMMA表面粗糙度的影响,并且开展超景深显微镜、扫描电子显微镜(Scanning electron microscope,SEM)、原子力显微镜(Atomic force microscope,AFM)和红外光谱仪的表征,发现使用四氢呋喃和无水乙醇按1∶1比例配比,且加入15 mg/mL的二氧化硅时,能够得到更有利于PMMA疏液性的表面粗糙结构。最终,通过此表面改性方法,成功实现镓铟锡合金基微流体加速度开关阈值从52.54g改进到了28.62g,满足了原液态开关的设计要求。