2021年, 第57卷, 第3期 
刊出日期:2021-02-05
  

  • 全选
    |
    机器人及机构学
  • 何天宝, 郭闯强, 任浩, 姜力
    机械工程学报. 2021, 57(3): 1-10. https://doi.org/10.3901/JME.2021.03.001
    摘要 ( ) PDF全文 ( )   可视化   收藏
    随着医疗技术的发展,静脉穿刺已经成为人体健康评估、病情诊断、治疗的必要手段,目前几乎全部依靠医护人员手动操作完成,自动化需求日益强烈。为了减轻医护人员的精神和体力负担,推进医疗自动化和智慧医疗的发展,在巨大的社会经济前景的激励下,静脉穿刺机器人已成为世界范围内的研究热点,各大研究机构相继发布各自研究成果。简要概述了静脉穿刺机器人的发展现状,详细分析了所涉及的静脉感知、自主决策、机器人结构设计、控制方法等关键技术,总结了存在的问题和面临的挑战,并对未来发展趋势进行了展望。
  • 田大可, 范小东, 郑夕健, 刘荣强, 郭宏伟, 邓宗全
    机械工程学报. 2021, 57(3): 11-25. https://doi.org/10.3901/JME.2021.03.011
    摘要 ( ) PDF全文 ( )   可视化   收藏
    为满足我国深空探测、空间站建设、探月工程等重大航天工程对空间大型可展开天线等新型卫星有效载荷平台快速发展的要求,对国内外空间可展开天线微重力环境模拟方法进行了综述。分别对落塔法、抛物线飞行法、水浮法、气浮法和悬吊法等典型重力补偿方法的工作原理及优缺点进行了分析,综述了国内外在此领域的应用及技术发展情况,综合分析并比较了5种微重力模拟方法的技术特点及适用范围,结合我国航天科技中长期发展规划的需求,从大型化、高精度化、多样化、通用化、高保真化等方面,提出了未来可展开天线微重力模拟的发展趋势及方向,旨在为我国大型可展开天线及其微重力环境模拟方法的基础理论研究及工程应用提供借鉴与参考。
  • 郑昱, 杨洋, 邬如靖, 马科
    机械工程学报. 2021, 57(3): 26-34. https://doi.org/10.3901/JME.2021.03.026
    摘要 ( ) PDF全文 ( )   可视化   收藏
    在诸如眼科手术等外科手术中,使器械末端产生合适的微振动可以在一定程度上减小手术所需的操作力。提出一种可集成于眼科手术机器人末端的微振动模块,用于驱动手术器械产生微振动。该模块是一种并联柔性机构,包含三个并联支链和一个约束中心柱,每个并联支链中包含两个串联的驱动单元,通过驱动单元和中心柱的柔性微变形,实现微振动运动。然后,使用伪刚体模型描述驱动单元和中心柱的弯曲变形,建立微振动模块的运动学模型,通过分析支链结构参数对微振动模块性能影响,确定支链结构的构型参数。最后,利用激光测试仪对所设计的微振动模块进行微振动试验测试。结果表明,提出的微振动模块可在两个自由度方向分别实现30 Hz,14 μm和30 Hz,18 μm的微振动,试验结果同时验证了所提柔性机构分析方法的有效性。
  • 张元勋, 黄泽东, 韩亮亮, 谷程鹏, 张文奇
    机械工程学报. 2021, 57(3): 35-48. https://doi.org/10.3901/JME.2021.03.035
    摘要 ( ) PDF全文 ( )   可视化   收藏
    面向月面极端环境科学探测任务,提出一种兼有快速通过性和良好环境适应性的爬行滚动一体化机器人设计方案,通过机器人6条腿的形态变化,使机器人具有爬行和滚动两种运动模式。在对爬-滚机器人构型分析的基础上,建立了单腿正逆运动学模型,以运动学为基础,基于足端轨迹规划设计了爬行模式下机器人直行、原地转向步态;结合非结构地形的特殊性,通过尺寸和力约束条件分析了机器人滚动模式下的最大爬坡角和最大越障高度。基于ADAMS软件对机器人爬行模式直行、原地转向,滚动模式爬坡、越障等运动行为进行了模拟,并搭建了机器人移动试验平台,对机器人样机在实验室环境中进行了测试,仿真和试验结果表明机器人在爬行模式下具有良好的移动性能,在滚动模式下具有一定的爬坡和越障能力,爬行、滚动模式运动特性分析能准确地评价机器人性能,证明了该设计方案的适用性和可行性,为后续特种探测机器人的研究提供借鉴。
  • 王洋, 张小俊, 张明路, 孙凌宇
    机械工程学报. 2021, 57(3): 49-58. https://doi.org/10.3901/JME.2021.03.049
    摘要 ( ) PDF全文 ( )   可视化   收藏
    为解决传统爬壁机器人在复杂大型金属立面上的变曲率自适应问题,以履带与曲面的有效接触为出发点,分析在自适应曲面运动时履带式移动构型的姿态变化规律,提出一种基于分体柔性履带移动与间隙式永磁吸附的自适应爬壁机器人;建立多状态下移动模型,分析机器人在变曲率立面移动及焊缝越障过程中利用自身姿态变化实现自适应的运动特性;构建间隙式永磁吸附模型,利用参数化仿真分析了壁厚、磁隙等对吸附能力的影响;通过样机平台试验表明,机器人能以合理的运动姿态实现在变曲率立面上的大负载灵活可靠运动,具有较好的变曲率自适应能力及越障能力。
  • 占金青, 刘天舒, 刘敏, 朱本亮
    机械工程学报. 2021, 57(3): 59-68. https://doi.org/10.3901/JME.2021.03.059
    摘要 ( ) PDF全文 ( )   可视化   收藏
    柔顺机构需要承受多次往复运动,交变应力导致机构容易发生疲劳损伤及失效。为了满足疲劳性能要求,提出一种考虑疲劳性能的柔顺机构拓扑优化设计方法。考虑恒定振幅的比例载荷作用,采用修正的Goodman疲劳准则评定柔顺机构的疲劳强度,以柔顺机构的输出位移最大化为目标函数,以疲劳性能和结构体积作为约束,采用改进的P范数方法进行疲劳约束凝聚,建立基于疲劳性能约束的柔顺机构拓扑优化模型,利用映射过滤方法避免数值不稳定性现象,采用移动渐近优化算法求解柔顺机构疲劳约束拓扑优化的多约束优化问题。数值算例结果表明基于疲劳约束拓扑优化获得的柔顺机构能够满足疲劳要求,机构的von Mises等效应力分布更加均匀;并且分析不同的作用载荷条件对柔顺机构构型及其性能的影响规律。
  • 王朋朋, 王波, 师甜, 郑士昆, 马小飞
    机械工程学报. 2021, 57(3): 69-76. https://doi.org/10.3901/JME.2021.03.069
    摘要 ( ) PDF全文 ( )   可视化   收藏
    研究重力对某大型可展开天线热变形测试结果的影响,通过仿真计算和试验测试对重力影响程度进行了分析和验证。首先,对大型可展开天线热变形来源进行了归类分析,并从中找出了受重力场影响的关键因素。然后,将重力场对各个误差来源的影响程度进行了详细分析,影响以天线位移变化的形式给出,并最终得出对整天线热变形的影响。最后,对天线在卸载和不卸载状态下的热变形进行了测试,测试结果显示,对文中所指的大型可展开天线,重力引起的热变形结果偏差均方根为0.046 mm,该误差与系统测试误差相当,因此,可以认为天线热变形测试结果对重力不敏感。
  • 机械动力学
  • 张海燕, 侯力, 罗岚, 梁爽, 冷松
    机械工程学报. 2021, 57(3): 77-86. https://doi.org/10.3901/JME.2021.03.077
    摘要 ( ) PDF全文 ( )   可视化   收藏
    变双曲圆弧齿线圆柱齿轮具有小型、重载、高可靠性等特点,应用前景广阔。为推广这种新型传动的应用,开展针对变双曲圆弧齿线圆柱齿轮专用机床的模块化设计方法的研究。根据此专用机床的功能需求,以设计概念为主线,以功能-原理-行为-结构设计过程模型为映射及相关性分析原则获得系统零部件的综合相关关系矩阵,在此基础上应用间隙统计和自组织神经网络映射相结合的方法对系统进行聚类,得到多种模块划分方案。最后,基于逼近理想解排序法对模块划分方案进行了优选,得到了最理想的划分方案。对变双曲圆弧齿线圆柱齿轮专用机床的模块化方法的研究能够实现此机床的快速设计,为机床的可重构奠定了基础。
  • 温众普, 吴剑威, 范芯蕊, 谭久彬
    机械工程学报. 2021, 57(3): 87-97. https://doi.org/10.3901/JME.2021.03.087
    摘要 ( ) PDF全文 ( )   可视化   收藏
    小型复合节流静压气体导轨是保证光刻机高速运动和精确定位的关键部件。为提升导轨的承载力及刚度,在工作面常增加浅腔和沟道等微结构,但微结构对导轨的力学特性、特别是转动刚度的影响一直不清晰。采用网络自适应方法研究了微结构的四个主要参数的影响,以此为依据归纳拟合出修正节流系数,建立了带有修正节流系数的导轨性能半解析模型,揭示了微结构参数微米量级变化对导轨性能的影响规律。以转动刚度最优、兼顾承载力和刚度为原则,归纳了各微结构参数的选取表达式,用于指导同类型静压气体导轨的设计。以光刻机可变狭缝系统为例,采用提出的修正节流系数及微结构选取方法对下层导轨进行设计。试验表明,转动刚度达到10.3×103 N·m/rad,可以满足高速可变光阑加速扫描运动的需求,验证了方法的准确有效性。
  • 陈云, 侯亮, 刘文志, 卜祥建
    机械工程学报. 2021, 57(3): 98-106. https://doi.org/10.3901/JME.2021.03.098
    摘要 ( ) PDF全文 ( )   可视化   收藏
    颤振是影响铣削加工表面质量和限制切削效率的重要原因,准确获取稳定性叶瓣图是避免颤振的有效途径。精加工铣削常使用小径向切深/刀具直径比,产生过小的实时切削厚度,刀具容易脱离工件,造成显著非线性因素;过小的径向切深/刀具直径比也导致铣削加工高度断续。因此,常用的圆弧切削厚度已不能近似实际切削厚度,进而影响断续铣削加工颤振预测。采用考虑实际切削厚度的时域仿真法预测断续铣削加工颤振稳定性。该方法使用刀具实际运动轨迹计算切削厚度,并综合考虑了铣削过程中刀具和工件的动力学特性对切削厚度的影响。提出基于相关系数的无量纲颤振判定准则,并用于铣削仿真结果加工状态的判定。通过钛合金Ti6Al4V铣削验证试验结果,所提出的时域仿真法能准确预测小径向切深/刀具直径比所致的断续铣削加工稳定性叶瓣图,为高断续铣削加工无颤振加工参数选择提供了一种有效方法。
  • 陈龙, 郝婵娟, 汪中厚, 冯文斌, 杨易明
    机械工程学报. 2021, 57(3): 107-115. https://doi.org/10.3901/JME.2021.03.107
    摘要 ( ) PDF全文 ( )   可视化   收藏
    齿轮应用极其广泛,而齿面损坏是齿轮失效的主要形式,因此齿轮接触分析是齿轮设计的重要手段,最新发展的等几何分析(Isogeometric analysis,IGA)方法在解决接触仿真分析方面具有优良性能而受到青睐。将直齿圆柱齿轮简化为平面模型,首先构建能用于IGA的多片拼接NURBS曲面参数化模型,并比较了IGA模型与标准渐开线齿轮的几何误差;然后推导了平面接触IGA的相关计算公式,实现了一对单齿接触的完整齿轮等几何接触分析。为验证等几何接触分析算法的正确性,一方面将计算结果与齿轮无摩擦赫兹接触分析的理论值进行计算精度对比,另一方面将计算结果与商业软件计算结果进行对比。结果表明,IGA方法在分析接触问题时具有计算效率高、速度快、应力场更加光滑等优势,从而为解决齿轮接触分析问题提供一种有效的方法,同时也为齿轮的建模仿真与优化一体化设计提供新的途径。
  • 摩擦学
  • 尹源, 黄伟峰, 刘向锋, 刘莹, 王玉明, 李鲲
    机械工程学报. 2021, 57(3): 116-128. https://doi.org/10.3901/JME.2021.03.116
    摘要 ( ) PDF全文 ( )   可视化   收藏
    机械密封的智能化是装备智能化中不可或缺的关键环节之一,也是有效解决高端装备机械密封现有问题、发展机械密封新功能的迫切需要和战略性发展方向。针对机械密封本身的机理和技术特征,对机械智能化的理念进行了阐述。从智能型机械密封需要具备的感知、分析和行动三个能力维度,综述了机械密封智能化的现有技术手段和面临的困难。在机械密封智能化的未来发展中,尽管增量式设计方法可能更容易取得初步成果,但从长远来看需要突破非智能化条件下的经典结构的限制,采用系统层面的整体设计方法。可以预期,深度交互、高度自治的智能型机械密封将对密封技术进步和装备智能化产生重要价值。
  • 王永青, 班仔优, 韩灵生, 刘阔, 孔繁泽, 刘海波
    机械工程学报. 2021, 57(3): 129-136. https://doi.org/10.3901/JME.2021.03.129
    摘要 ( ) PDF全文 ( )   可视化   收藏
    迷宫密封是保证旋转机械中定子与转子之间密封性能的关键结构。超低温冷却加工机床液氮内喷式主轴采用迷宫密封对超低温介质进行密封,密封件承受非常大的温度载荷和应力载荷,会产生结构变形并影响密封性能。为研究超低温冷却加工机床液氮内喷式主轴内迷宫密封件在超低温环境下的结构变形对密封性能的影响规律,基于流体力学、传热学、弹性力学理论,采用多物理场耦合数值分析方法,对迷宫密封的温度场、变形规律、泄漏特性等进行了深入分析,得到了超低温介质密封结构的温度场分布和变形后的密封间隙并创建了考虑结构变形的泄漏量模型。研究结果表明:密封超低温介质时,在低温载荷的影响下迷宫密封件发生受冷收缩变形导致迷宫密封间隙明显增加,-188.56℃低温下泄漏量增加了2倍,密封结构的密封性能变差。对多种工况下迷宫密封结构变形后的泄漏量进行对比分析,相对误差均在6%以下,证明了所建立的泄漏量模型的有效性。
  • 夏延秋, 林飞虎, 冯欣
    机械工程学报. 2021, 57(3): 137-146. https://doi.org/10.3901/JME.2021.03.137
    摘要 ( ) PDF全文 ( )   可视化   收藏
    采用多弧离子镀技术分别制备了Ti-Ag/TiN-Ag和Ti-Cu/TiN-Cu镀层,同时制备了以石墨烯为导电填料和聚乙二醇聚丙二醇单丁基醚(PAG)为基础油的导电润滑脂(GLG)。用HFT-R4000高速往复载流摩擦磨损试验机研究了镀层在载流润滑条件下的摩擦磨损性能,镀层和磨痕表面用扫描电子显微镜(SEM)、能量色散X射线光谱仪(EDS)和拉曼光谱仪(Raman)进行观察和分析。结果表明,铜(Cu)原子分数为3%时,Ti-Cu/TiN-Cu镀层在脂润滑下具有较好的抗磨减摩及电腐蚀性能;银(Ag)原子分数为3%时,Ti-Ag/TiN-Ag镀层在脂润滑下展现出更好的电流稳定性,这归因于镀层、润滑脂和电流产生的热在表面形成了复杂的保护膜,提高了摩擦副的减摩和抗磨作用。
  • 崔颖, 于颖嘉, 王永亮, 赵爽, 钟兢军
    机械工程学报. 2021, 57(3): 147-155. https://doi.org/10.3901/JME.2021.03.147
    摘要 ( ) PDF全文 ( )   可视化   收藏
    梁式管接头具有耐高压、自紧性和自封性等优点,在航空液压系统中有着广阔的应用前景。设计提出了一种带有椭圆形凹槽的梁式管接头阴接头结构,建立了该型梁式管接头的弹塑性有限元接触模型,数值模拟得到该结构能够形成两道有效密封。以最大接触压力为密封性能评价指标的分析表明,管内流体压力具有提高梁式管接头密封性能的作用,且施加的预紧力存在一个最佳设计值。该型梁式管接头阴、阳接头配合面在不同预紧力下的接触带宽试验结果与数值模拟结果吻合较好,验证了有限元模型和分析方法的有效性。进而,采用正交试验对梁式管接头的主要结构参数进行分析,利用极差法得到了结构参数对两道密封带密封性能影响的敏感性。结果表明,椭圆形凹槽的长轴和短轴,第一道密封的名义接触带宽与U形梁截面宽度对带有椭圆形凹槽的梁式管接头密封性能有显著影响。
  • 数字化设计与制造
  • 刘阔, 韩伟, 王永青, 刘海波, 宋磊
    机械工程学报. 2021, 57(3): 156-173. https://doi.org/10.3901/JME.2021.03.156
    摘要 ( ) PDF全文 ( )   可视化   收藏
    机床在内外热源共同作用下产生热变形,严重影响机床的精度稳定性与零件加工精度,如何抑制机床热误差是一个重要的研究领域。介绍了机床热误差避免方法和热误差补偿方法的研究进展。分析了直线进给轴误差的成因,并阐述了有/无预紧条件下丝杠热变形过程及机理。介绍了温度测点位置优化方法,以及数据驱动与机理驱动的热误差建模理念、方法及特点。介绍了旋转进给轴热误差测试方法,并给出了其建模及补偿效果。最后,对进给轴热误差补偿技术研究进行了展望。
  • 巩浩, 刘检华, 孙清超, 夏焕雄
    机械工程学报. 2021, 57(3): 174-184. https://doi.org/10.3901/JME.2021.03.174
    摘要 ( ) PDF全文 ( )   可视化   收藏
    当前,装配环节对精密机电产品装配精度和性能稳定性的保障作用正日益凸显。针对现有的以几何量控制为主的装配理论与方法,不能保障精密产品的装配精度及其性能稳定性的问题,提出均匀性装配的概念,指出均匀性装配是连接结构应力对称均匀分布的各种装配方法、工艺和装备技术的总称,详细阐述了均匀性装配的内涵体系、主要特征、连接结构类型和关键技术等,并从面向均匀性装配的精密机电产品设计、面向均匀性装配的工艺规划与设计、面向均匀性装配的测量与检测、面向均匀性装配的工艺装备、面向均匀性装配的辅助装调,以及面向均匀性装配的补偿策略等六个方面,详细论述了均匀性装配的主要研究方向。最后,总结了均匀性装配对精密机电产品装配支撑作用和意义。
  • 褚学宁, 陈汉斯, 马红占
    机械工程学报. 2021, 57(3): 185-196. https://doi.org/10.3901/JME.2021.03.185
    摘要 ( ) PDF全文 ( )   可视化   收藏
    利用运行数据识别产品设计缺陷或薄弱环节是产品开发和更新换代的主要模式,也是保证产品服役性能稳定的重要途径。提出了一种性能数据驱动的产品关键设计参数(薄弱环节)识别方法。首先,利用极限学习机算法划分运行工况,提出了基于核主成分分析和高斯混合模型的多工况性能退化评估方法,消除了工况变化对性能退化评估的影响,得到性能退化严重的关键功能模块;其次,对性能监测数据进行聚类分析,识别出与模块性能退化密切相关的关键性能监测参数;最后,建立了“性能监测参数-性能参数-设计参数”三者之间的关联关系,识别出导致性能严重退化的关键设计参数。以某大吨位履带起重机作业机构为例,验证了方法的有效性。
  • 刘送永, 李志强, 谢奇志
    机械工程学报. 2021, 57(3): 197-206. https://doi.org/10.3901/JME.2021.03.197
    摘要 ( ) PDF全文 ( )   可视化   收藏
    为提高硬岩破碎能力,提出了一种高压泡沫涨裂装置。该装置利用高速活塞冲压泡沫,在岩石钻孔内施加载荷,实现岩石涨裂破碎。基于流体力学和能量守恒理论,建立高压泡沫涨裂装置动力学模型,分析装置动力参数与结构参数的关系,探究涨裂装置结构参数对涨裂压力的影响,揭示活塞冲压过程能量演化规律;构建高压泡沫涨裂试验系统,验证系统可行性和理论分析的合理性。结果表明:涨裂活塞经过200 mm行程后,装置最大涨裂压力可达80 MPa;活塞杆直径、泄油口面积对涨裂压力的影响显著;缓冲活塞直径对装置涨裂压力的影响微弱,对缓冲速度影响较为显著,当缓冲活塞直径从70 mm增到90 mm,缓冲后速度从4.8 m/s下降到1.5 m/s,缓冲效果提升3.2倍;试验实现了岩样的有效破碎,涨裂压力试验值的变化趋势与理论计算结果的吻合度较好。上述研究为硬岩破碎装置性能的改善提供了理论基础,同时为其他高压介质涨裂装置的研究提供了理论借鉴。
  • 刘检华, 张志强, 夏焕雄, 巩浩, 邵楠
    机械工程学报. 2021, 57(3): 207-219. https://doi.org/10.3901/JME.2021.03.207
    摘要 ( ) PDF全文 ( )   可视化   收藏
    提高精度是机械制造学科永恒的追求目标之一,随着精密机电产品不断追求更高精度,装配精度分析的精确性要求也在不断提高,在此背景下,提出综合考虑表面形貌与受力变形的装配精度分析方法。首先,以非理想表面模型为基础,通过小位移旋量模型以及基函数线性叠加方法分别对定位/定向误差、形状误差进行建模;并基于共轭梯度-快速傅里叶变换算法,建立不同类型非理想配合表面的接触变形计算方法;然后,以改进多面体模型进行装配偏差累积计算,实现了综合考虑表面形貌与受力变形的装配精度分析;最后,通过实例,对比分析了是否采用非理想表面模型以及是否考虑受力变形条件下装配精度分析的结果差异。数值研究结果表明,所提方法能够提高装配精度分析的准确性,从而为精密机械产品精度设计提供更为准确的指导。
  • 高芮宁, 李祥
    机械工程学报. 2021, 57(3): 220-226. https://doi.org/10.3901/JME.2021.03.220
    摘要 ( ) PDF全文 ( )   可视化   收藏
    提出一种基于Gyroid曲面的径向梯度多孔支架的设计方法。通过调节中心孔隙率Pin,边缘孔隙率Pout,和梯度变化率n设计具有相同平均孔隙率,不同孔隙变化率的径向梯度多孔支架。采用有限元法(Finite element method,FEM)分析和力学试验方法分别对径向梯度多孔支架和均质多孔支架的力学性能进行研究,并对比其性能的差异。有限元分析结果显示,在平均孔隙率相同的条件下,所设计的径向梯度多孔支架力学性能优于均质多孔支架。平均孔隙率越高,径向梯度多孔支架相对均质多孔支架的力学性能越好;力学试验结果显示,当平均孔隙率为70%时,径向梯度多孔均质多孔支架弹性模量与抗压强度分别为(2.34±0.05) GPa和(67.63±1.33) MPa,径向梯度多孔支架弹性模量与抗压强度分别为(3.96±0.19) GPa和(90.83±3.35) MPa。有限元分析与力学试验共同说明了径向梯度多孔支架比均质多孔支架性能优异。
  • 制造工艺与装备
  • 胡可辉, 吕志刚, 陆宽, 梁静静
    机械工程学报. 2021, 57(3): 227-234. https://doi.org/10.3901/JME.2021.03.227
    摘要 ( ) PDF全文 ( )   可视化   收藏
    针对多层内腔空心涡轮叶片用复杂陶瓷型芯,研究基于光固化的陶瓷型芯增材制造方法。采用光敏树脂与熔融石英粉混制的陶瓷浆料,通过DLP增材制造设备进行陶瓷型芯坯体制备,再经过脱脂烧结工艺获得可用于实际浇注的陶瓷型芯。光敏树脂活性单体选用1,6-己二醇二丙烯酸酯(1,6-hexanediol diacrylate,HDDA)和乙氧化季戊四醇四丙烯酸酯(Ethoxylated pentaerythritol tetraacrylate,PPTTA),熔融石英粉体采用400目和1000目的粉体进行级配。坯体分层制造中,发现浆料铺料厚度影响坯体受力,通过调整加料方式、刮刀位置、刮料速度,实现浆料厚度的准确控制。最终成功制备出高120 mm、宽80 mm的多层复杂结构陶瓷型芯,并在实际工艺条件下进行金属浇注和脱芯验证,力学性能和脱芯性能满足工艺要求。
  • 丁峰, 王成勇, 赖子健, 张涛, 朱旭光, 高宽
    机械工程学报. 2021, 57(3): 235-246. https://doi.org/10.3901/JME.2021.03.235
    摘要 ( ) PDF全文 ( )   可视化   收藏
    锆基非晶合金切削过程中的高切削热会导致工件表面晶化,使非晶合金优异性能丧失。提出将冰冻盘夹具用于非晶合金铣削加工,提升切削散热能力,实现非晶合金冰冻切削加工。研究了非晶合金冰冻铣削过程中的燃烧发光特征及其影响因素;分析了冰冻切削工艺(切削速度、进给量和刀具涂层材料)对非晶切削力的影响规律;优化了适用于非晶合金无晶化加工的冰冻切削工艺参数,并揭示了涂层刀具的磨损失效形式。结果表明,锆基非晶合金切屑燃烧发光是导致非晶冰冻切削加工表面晶化和表面粗糙度增大的根本原因;引起切屑燃烧发光的主要因素包括高切削速度、小进给量以及因切削长度增加导致的刀具磨损积累,改变刀具涂层不会导致切屑燃烧发光;切削力主要受切削速度影响,对进给量不敏感;TiSiN、TiAlN、CrSiN和AlCrN四种涂层刀具的失效形式均为后刀面黏结磨损、前刀面涂层剥落以及刀尖崩缺;CrSiN涂层具有最佳的抗黏结磨损能力,可获得最小切削力和最低表面粗糙度。通过优化冰冻切削工艺,可以实现锆基非晶合金的高速铣削加工,同时避免切屑燃烧发光,获得高质量的无晶化加工表面。
  • 郑子军, 尹林志, 文东辉, 应富强
    机械工程学报. 2021, 57(3): 247-254. https://doi.org/10.3901/JME.2021.03.247
    摘要 ( ) PDF全文 ( )   可视化   收藏
    提出一种新型液动压悬浮抛光方法,阐述液动压悬浮抛光的基本原理,通过对结构化单元的划分及其流体液动压力的研究,推导出液动压承载力与抛光液黏度、抛光工具速度、抛光间隙以及抛光工具盘结构参数如单元长度、单元宽度、形状系数等的解析模型。数值模拟研究获得了影响液动压悬浮抛光工具盘承载力大小的主要因素,液动压抛光工具盘的斜面升高比和斜面占长比对承载力的数值大小存在极值条件,承载力与抛光工具盘速度和单元长度成正比,承载力与单元宽度的平方成正比并与加工间隙的平方成反比,单元宽度和加工间隙对承载力数值大小的作用最为显著。
  • 王东, 焦锋
    机械工程学报. 2021, 57(3): 255-266. https://doi.org/10.3901/JME.2021.03.255
    摘要 ( ) PDF全文 ( )   可视化   收藏
    为避免或减少钻削出口分层缺陷,控制钻削轴向力不超过出口分层临界轴向力具有重要的实际意义。将钻头横刃上的轴向力分为两部分,其一是横刃前刀面与碳纤维增强复合材料(Carbon fiber reinforced polymers,CFRP)之间作用力的轴向分量,其二是横刃圆弧与CFRP接触力的轴向分量。基于复合材料的细观力学理论和Hoffman强度准则,推导了横刃前刀面上作用力的轴向分量计算公式。将横刃与碳纤维的接触视为正交圆柱体的接触,导出了Hertz接触力轴向分量的计算公式。将两个轴向力求和,构成了横刃上轴向力的计算模型。以试验数据为基础,确定横刃轴向力占总轴向力的比值,建立钻削轴向力、分层临界轴向力和钻削工艺参数之间的联系,导出了以横刃轴向力为基础的钻孔出口分层临界进给量的计算模型,通过钻削试验和有限元仿真验证了模型的可靠性。该研究工作对合理选择钻削工艺参数和预防分层缺陷具有指导作用。
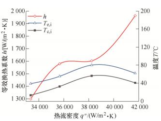
  • 陈佳佳, 傅玉灿, 钱宁, 姜华飞
    机械工程学报. 2021, 57(3): 267-276. https://doi.org/10.3901/JME.2021.03.267
    摘要 ( ) PDF全文 ( )   可视化   收藏
    制约难加工材料成型磨削的主要问题是磨削烧伤。现有的冷却技术大多基于冷却液进行冷却,而鲜有学者从砂轮基体本身的换热潜能出发来解决磨削热的疏导问题。提出借鉴高效传热性能热管技术实现磨削弧区强化换热的构想,针对典型盘类零件型面特征,制作了轴向旋转热管砂轮,通过监测热管内部的温度分布,分析了不同转速、充液率以及热流密度条件下轴向旋转热管砂轮的等效换热系数。通过对比有、无热管两种砂轮在干磨削钛合金TC4成型面时热管内部温度、磨削弧区温度、工件表面质量及工件表层金相组织等,证实了热管在强化成型磨削过程换热的优势。最终,对比了在使用热管和冷却液两种冷却方式下,所产生的能源消耗和CO2排放量,证实了旋转热管技术在难加工材料绿色制造中的发展潜力。